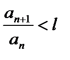
Пусть выполнено условие (16.4) и q<1. рассмотрим число l, удовлетворяющее неравенству q< l <1.
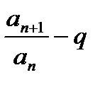
Из определения предела и соотношения (16.4) следует, что
, то есть
, начиная с некоторого номера
, то есть
будет иметь место неравенство
(16.6)
Действительно, так как величина
стремится к пределу q, то разность
может быть сколько угодно малым.
Тогда для любого
как только 
<
< q+ 
Так как
достаточно мало, то
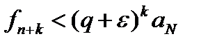
и q выбираем так, чтобы q+
<1, при
, то есть
< q+
<1 
Отсюда получим

Для удобства обозначим q+
= q1, тогда

Геометрический ряд сходится, то и сходится ряд (16.1).
Пусть q>1. тогда из свойства (16.4) вытекает что
> l, (
)
При достаточно большом N и тогда в силу свойства (16.3) ряд
расходится, а вместе с ним расходится и ряд (16.1).






