Пусть члены ряда (16.1) положительны и не возрастают, то есть:

И пусть
-такая непрерывная невозрастающая функция, что
(16.11)
Тогда справедливы следующие утверждения:
1) если несобственный интеграл
сходится, то сходится и ряд (16.1)
2) если указанный интеграл расходится, то и расходится ряд (16.1)
Доказательство:
Изобразим члены ряда геометрически, откладывая по оси абсцисс номера 1,2,3,…,n.n+1… членов ряда, а по оси ординат соответствующие значения членов ряда
. Построим на том же чертеже график непрерывно не возрастающей функции
, удовлетворяющий условию (16.11)

Из чертежа видно что первый из построенных прямоугольников имеет основание 1 и высоту
. Следовательно, площадь этого прямоугольника
. Площадь второго прямоугольника
и т.д. наконец, площадь последнего (n-го) из построенных
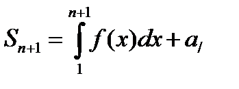
. Сумма площадей построенных прямоугольников равна сумме
первых n членов ряда. С другой стороны, ступенчатая фигура, образованная этими прямоугольниками заключает область, ограниченную кривой
и прямыми х=1, х=n+1, у=0. площадь этой области равна
|
|
|

Следовательно:
>
(16.12)

Рассмотрим чертеж 2. здесь первый (слева) из построенных прямоугольников имеет высоту
, следовательно его площадь также
. Площадь второго
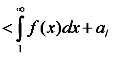
и т.д площадь последнего из построенных прямоугольников равна сумме всех членов ряда, начиная от второго до (n+1)-го, то есть
.
С другой стороны, как легко видеть, ступенчатая фигура, образованная этими прямоугольниками, содержится внутри криволинейной фигуры, ограниченной кривой
и прямыми х=1, х=n+1, у=0.
Площадь этой фигуры равна
, следовательно,
< 
Откуда
(16.13)
Рассмотрим оба случая.
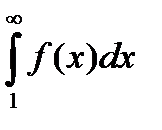
1. Предположим что интеграл
сходится, то есть имеет конечное значение. Так как
<
,
то в силу (34.13)
,
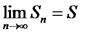
То есть частичная сумма остается ограниченной при всех значениях
. Но при увеличении
она возрастает, так как все члены
положительны. Следовательно,
при
имеет конечный предел
, то есть ряд сходится.
2. Предположим далее, что
= 
Это означает, что
неограниченно возрастает при возрастании
. Но тогда в силу неравенства (16.13)
также неограниченно возрастает при возрастании
, то сть ряд расходится.






