Исследовать сходимость ряда

Решение:
Применим признак Коши

Ряд расходится.
Заметим, что во всех случаях, когда признак Даламбера дает ответ на вопрос о поведении ряда, ответ может быть получен и с помощью признака Коши. На примерах мы увидим, что обратное утверждение не верно, и признак Коши сильнее признака Даламбера. Однако на практике пользование признаком Даламбера обыкновенно проще.

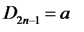
где
и
-два различных положительных числа
и признак Даламбера позволяет сделать заключение о сходимости или расходимости ряда, лишь если оба числа a и b меньше единицы или оба больше.
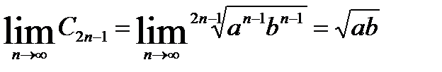
В то же время

По признаку Коши, при
ряд сходится, а при
(очевидно и при
) расходится.






