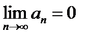
Если
(17.2) и
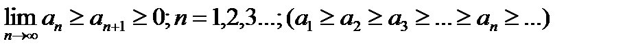
(17.3)
то знакочередующийся ряд (17.1) сходится. При этом любая частичная сумма
ряда (17.1) отличается от его суммы
на величину, меньшую следующего члена
, иначе говоря, абсолютная величина остатка ряда
в этом случае не превышает абсолютной величины его первого члена, то есть:







