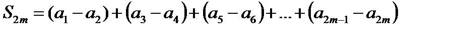
Рассмотрим сумму
первых членов ряда (17.1)

Из условия (17.3) следует, что выражение в каждой скобке положительно. Следовательно сумма
положительна и возрастает с возрастанием
.
Запишем теперь эту сумму так:

В силу условия (17.3) каждая скобка положительна. Поэтому в результате вычитания этих скобок из
мы получим число меньше чем
, то есть
.
Таким образом мы установили, что
при возрастании
возрастает и ограничена сверху. Отсюда следует что
имеет предел
:
,
причем: 
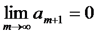
однако сходимость ряда еще не доказана.
Мы доказали только, что последовательность имеет пределом число
. Докажем теперь, что нечетные частичные суммы также стремятся к пределу
.
Рассмотрим для этого сумму
первых членов ряда (17.1).

Так как по условию (17.2)
, то следовательно,

Тем самым мы доказали что,
, как при четном
, так и при нечетном
. Следовательно ряд (17.1) сходится.
Пример 17.1 Знакочередующийся ряд







