I. Найти радиус сходимости ряда

Имеем:

Следовательно, ряд сходится при всех значениях х, то есть R=.
В силу необходимого признака сходимости, общий член рассматриваемого ряда стремится к нулю

при любых х. Это замечание будет существенным образом использовано в дальнейшем.
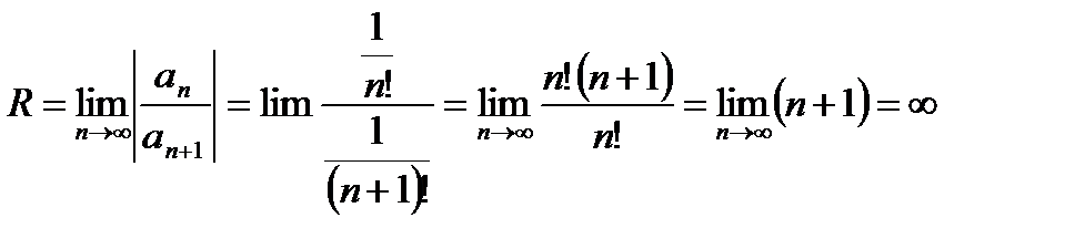
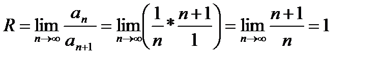
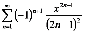
2. Найти радиус сходимости ряда

Имеем:

Радиус сходимости ряда R=1. Рассмотрим поведение ряда на концах интервала сходимости. При х=1 получаем расходящийся ряд:

а при x=-1 ряд:

сходящийся не абсолютно.
3. Исследовать ряд

Решение:

ряд сходится при
< 1 и расходится при
>1.
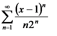
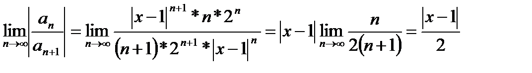
4. Найти интервал сходимости ряда

Имеем:

Ряд сходится, если
<1, то есть -2<х-1<2. Таким образом,
интервал сходимости ряда является интервал (1,3) с центром в точке х=1
' §4. Общие свойства степенного ряда
Рассмотрим степенной ряд (19.2), имеющий радиус сходимости R (R может равняться ∞).
В интервале сходимости ряда его сумма является некоторой функцией f(x). (говорят, что ряд сходимости к f(x) или что он представляет функцию f(x)).
|
|
|
Сформулируем в виде теорем общие свойства степенных рядов, доказывать эти теоремы мы не будем.
Теорема 19.3. Сумма степенного ряда (19.2) есть функция непрерывная в интервале сходимости ряда.
Теорема 19.4. Степенной ряд, полученный в результате почленного интегрирования ряда (19.2) в интервале [0,х], сходится для — R<x<R к соответствующему интегралу от суммы f(x) ряда (19.2).

-R<x<R
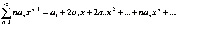
Теорема 19.5. Степенной ряд в интервале его сходимости можно, дифференцировать почленно, так что:
f’(x)= 
Замечание. Степенной ряд в интервале его сходимости можно почленно дифференцировать любое число раз.






