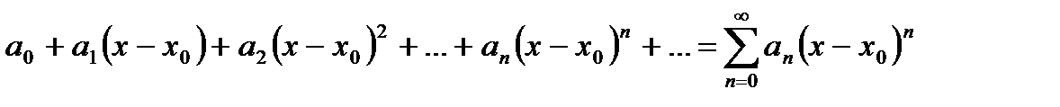
Определение 19.1. Степенным рядом называется функциональный ряд:
, (19.1)
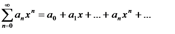
члены которого есть суть произведения постоянных а0,а1,а2,...,аn,... на степенные функции с целыми показателями степеней от разности х-х0 . Постоянные а0,а1,а2...,ап,... называются коэффициентами степенного ряда. В частности, если х0=0, то будем иметь степенной ряд, расположенный по степеням х:
(19.2)
В дальнейшем мы будем изучать именно такие степенные ряды, потому что всякий степенной ряд подстановкой Х=х-х0 преобразуется к ряду указанного вида.Для удобства п -м членом степенного ряда называется член
несмотря на то, что он стоит на (п+1) -м месте. Свободный член ряда а0 считают нулевым членом ряда.
Определение 19.2. Если при х=х0 степенной ряд (19.2) превращается в сходящийся числовой ряд, то будем говорить, что х0 есть точка сходимости степенного ряда; в противном случае х0 есть точка расходимости.
Степенные ряда обладают многими важными свойствами, к рассмотрению которых мы и приступим.






