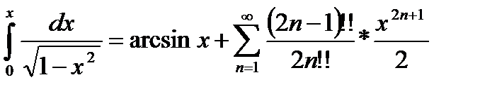
Почленное интегрирование рядов:


в промежутке [0,х] (где
<1) сразу получаются разложения:


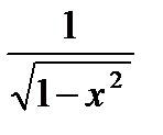
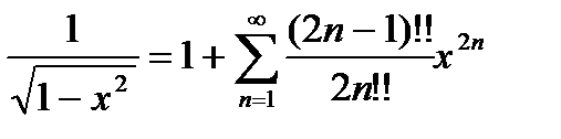
2. Если вспомнить, что производная функции arcsin х, равная
разлагается в ряд следующим образом:
(-1<x<1)
то почленным интегрированием этого ряда легко получить разложение самого арксинуса:. •
(-1<х<1).






