Здесь возможны три случая:.
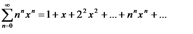
1. Область сходимости и состоит только из одной точки х=0. Другими словами, ряд расходится для всех значений х кроме одного. Этот случай может быть иллюстрирован рядом:

Действительно, если х фиксировано и х>О, то, начиная с достаточно большого n, будет
>1, откуда вытекает неравенство
>1 означающее, что общий член ряда не стремится к нулю.
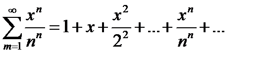
2. Область сходимости состоит из всех точек оси ОХ, другими словами, ряд сходится при всех х. Рассмотрим ряд:

Для любого х, с.достаточно большого п, будет.
Так как:
и т.д.,
то начиная с номера n, члены ряда по абсолютной величине будут меньше членов сходящейся геометрической прогрессии, следовательно, при всяком х ряд сходится.
3. Область сходимости состоит больше чем из одной точки оси ОХ, причем есть точки оси, не принадлежащие области сходимости. Например, ряд:
1+х+х2 +...+хn+..,
представляющий геометрическую прогрессию со знаменателем х, сходится при |х|<1 и расходится при |x|>l.
В третьем случае на числовой оси наряду с точками сходимости ряда имеются и точки расходимости.
|
|
|
Из теоремы Абеля и ее следствия вытекает, что все точки сходимости расположены от начала координат не дальше, чем любая из точек расходимости. Совершенно ясно, что точки сходимости будут целиком заполнять некоторый интервал с центром в начале координат.
Таким образом, можно сказать, что для каждого степенного ряда, имеющего как точки сходимости, так и точки расходимости, существует такое положительное число R, что для всех х, по модулю меньших R(|x|<R),ряд абсолютно сходится, а для всех х, по модулюбольших R(|x|>R), ряд расходится.
Что касается значений x=R и x=-R, то здесь могут осуществляться различные возможности: ряд может сходится в обеих точках, или только в одной из них, или ни в одной.
При этом ряд может сходиться как абсолютно, так и условно. Определение 19.3 Радиусом сходимости степенного ряда (19.2) называется такое число R, что для всех х, \х\ < R степенной ряд сходится, а для всех
>R, расходится. Интервал от х=-R до x=R называется интерваломсходимости. Условия для рядов, расходящихся при всех x кроме х=0, считать R=0, а для рядов, сходящихся при всех х, считать R=0.
Для степенных рядов вида (19.5) все сказанное выше остается в силе с той только разницей, что теперь центр интервала сходимости будет интервал (х0 - R,x0 + R).
Укажем способ определения радиуса сходимости степенного ряда. Пусть имеем ряд:
а0 +alx+a2x2 +... + an-1xn-1+anxn +...
Рассмотрим ряд, составленный из абсолютных величин его членов:

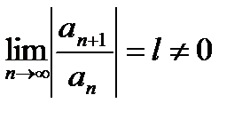
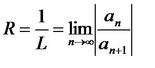
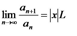
Для определения сходимости последнего ряда применим признак Даламбера. Допустим, что существует предел:

Тогда по признаку Даламбера ряд (19.2) сходится, если L \х\ < 1. то есть если |x| <
, и расходится, если L \х\ > 1,то есть если |х| >
.
|
|
|
Следовательно, ряд (19.2) сходится абсолютно при
. Если 
то
> 1, и ряд (19.2) расходится, причем его общий член
данного степенного ряда (19.2) не стремится к нулю, а это значит, на основании необходимого признака сходимости, что этот степенной
ряд расходится (при
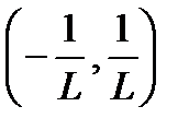
). Из предыдущего следует, что интервал
есть интервал сходимости степенного ряда (19.2), то есть:
(19.4)
илисогласно радикального признака Коши:
(19.5)
Теорема 19.2. Если существует предел
, то интервал сходимости ряда
будет
<х<
.
Поясним сказанное на конкретных примерах.






