Тема: Ряд Тейлора для функции
.. Ряды Тейлора и Маклорена. Достаточные условия представимости функции рядом Тейлора.Примеры разложения основных элементарных функций в ряд Тейлора.
§1. Ряд Тейлора для функции 
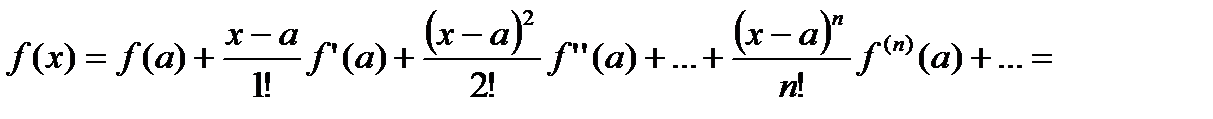
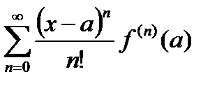
1.Определение ряда Тейлора. Пусть
при х=а имеет конечные производные
, то есть
в точке
. Тогда рядом Тейлора функции
относительно точки
называют ряд:

=
(20.1)
; 0!=1
Если для некоторой функции
составлен ряд Тейлора, то говорят что
разложена в ряд Тейлора.
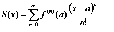
2. Теорема единственности. Пусть ряд Тейлора для некоторой функции
сходится в интервале
и пусть его сумма равна
.

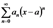
Теорема 20.1(единственности). Если в некоторой окрестности точки
функция
равна сумме степенного ряда:
,
то этот ряд есть ее ряд Тейлора в окрестности точки
.






