Так как степенной ряд можно почленно дифференцировать, то получаем


……………………………………………………

Пологая в этих равенствах х=а, будем иметь:
,
, …,
…
и значит, теорема доказана.
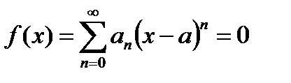
Следствие 20.1. Если сумма степенного ряда тождественно равна нулю:
,
то все его коэффициенты равны нулю.
Действительно, Так как
, а
, то
при любом
.
Из установленного следствия в свою очередь вытекает
Теорема 20.2. Функция
в окрестности одной и той же точке
не имеет различных представлений в виде степенного ряда по степеням
.
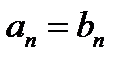
В самом деле, предположим, что
в окрестности точки
, представляя двумя степенными рядами:

Тогда вычитая второе неравенство из первого, получим:

И значит в силу следствия 20.1,

Из доказанной теоремы вытекает следующее.
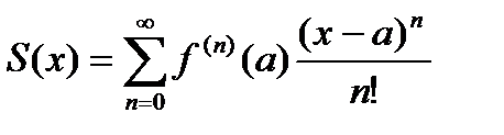
Определение 20.1. Рядом Тейлора функции
в окрестности точки
называется степенной ряд (20.1) относительно разности
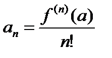
, коэффициенты которого
выражаются через функцию
и ее производные в точке а по формуле:
,
, …,
…
Эти коэффициенты называются коэффициентами Тейлора функции
в точке
.
|
|
|
3. Представление функции
ее рядом Тейлора.
Из теоремы существования следует, что если
вообще представима степенным рядом, то она представима своим рядом Тейлора, то есть в этом случае ряд Тейлора, составленный для функции
, сходится к ней самой.
Пусть некоторая функция
на интервале
и пусть ее ряд Тейлора сходится на этом же интервале к функции
; естественно спросить: будет ли справедливо равенство
-?
Вообще говоря ответ на этот вопрос отрицательный.
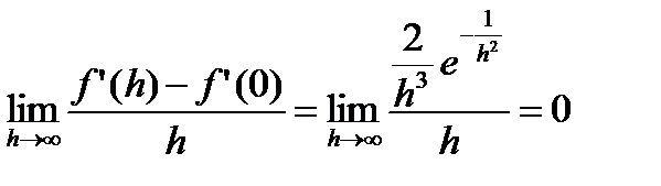
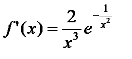
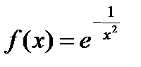
Примером может служить функция:
при
и 
Это –бесконечное число раз дифференцируемая на всей оси ОХ, причем все производные в точке х=0 равны нулю. Действительно,
, при
и 
Так как

, так как

И так далее. Следовательно, все коэффициенты Тейлора функции
при х=0 равны нулю, и значит, сходится но не к функции
, а к функции тождественно равной нулю.
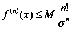
Теорема 20.3 Для того чтобы функция
была представлена своим рядом Тейлора относительно точки
, необходимо и достаточно, чтобы существовали числа
и
такие, что
имеет все производные в интервале
и кроме того, для каждого
выполняются равенства:

§ 2. Ряды Тейлора и Маклорена
Если
в окрестности точки
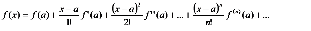
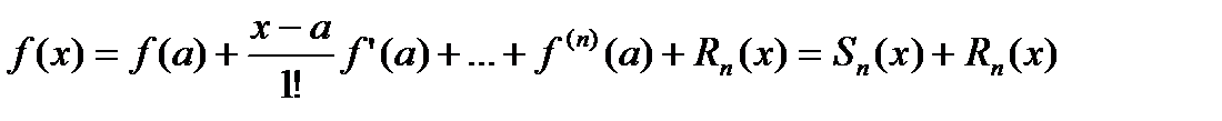
, то как известно из первого курса формула Тейлора имеет вид:
(20.2)
где
-многочлен
-ой степени, равный сумме первых (
) членов формулы Тейлора. При
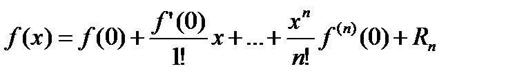
мы получаем формулу Маклорена:
(20.3)
где
называется остаточным членом
-формула Лагранжа.
- в форме Коши.
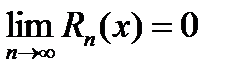
Если функция
имеет производные всех порядков в окрестности точки а=х, то в формуле Тейлора число
может брать сколь угодно большим. Допустим, что в рассматриваемой окрестности остаточный член
, стремится к нулю при 
|
|
|

Тогда переходя к формуле (20.2) к пределу при
, получим с права бесконечный ряд, который называется рядом Тейлора.
(20.4)
Последнее равенство справедливо лишь в том случае если
при
. В этом случае написанный с права ряд сходится и его сумма равна данной функции 
Докажем, что это действительно так.
, где 
Так как по условию
, то:
.
Но
есть
-я частичная сумма ряда (20.1): ее предел равен сумме ряда, стоящего в правой части равенства (20.1).Следовательно (20.1) справедливо.
(20.1)
Из предыдущего следует, что ряд Тейлора представляет данную функцию
только тогда, когда 






