Теорема Абеля. Если степенной ряд (19.2) сходится при х=хо ≠0, то он сходится, и притом абсолютно, при всяком х, лежащем в интервале
, то есть удовлетворяющем условию:
<
.
Доказательство. Заметим, что вследствие сходимости ряда
его общий член стремится к нулю: апхn
0 (
); поэтому все члены этого ряда ограниченны, то есть существует такое постоянное число М, что при всяком п имеет место неравенство:

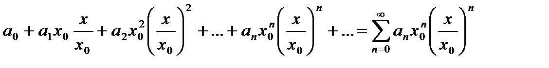
Запишем ряд (19.2) так:

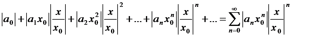
составим ряд из абсолютных величин этого ряда:

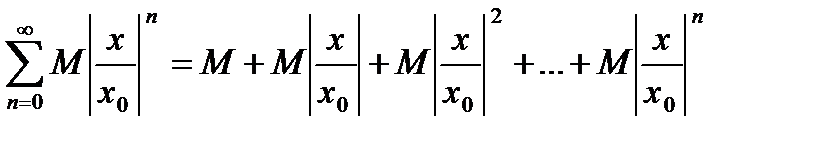
В силу установленного равенства каждый член здесь меньше соответствующего члена геометрической прогрессии со знаменателем 

если |х|<|хо|, то
< 1 и прогрессия сходится. Поэтому сходится и ряд по абсолютной величине, а значит, абсолютно сходится и ряд (19.2).
Теорема доказана.
Несмотря на то, что
, то мы не можем сразу воспользоваться признаком сравнения, поскольку в условии теоремы не сказано, что ряд в самой точке х0 сходится абсолютно.
Следствие 19.1 Если степенной ряд (19.2) расходится при х=х0, то он расходится и при всяком х, большем по абсолютной величине, чем х0, то есть при |х|>|хо|.
|
|
|






