Пусть
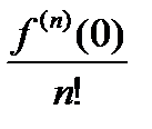
. Тогда ей можно представить в соответствии ряд (20.1). обозначим:
(20.4)
(20.5)
И назовем
остаточным членом формулы Тейлора для функции
в точке
. Если существует
(20.6)
То согласно определению сходимости ряда(20.1), он сходится к функции
в точке
., то есть
(20.7)
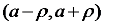
Теорема 20.4 Если функции
непрерывны на интервале
при
, то для любого
остаточный член формулы Тейлора для функции
в точке
можно представить
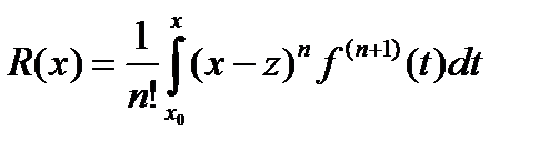
1. В интегральной форме
(20.8)
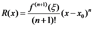
2. В форме Лагранжа
(20.9)
§ 3.Достаточные условия представимости функции рядом Тейлора.
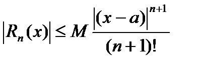
Из полученного выражения для
можно в частности, получить такой результат.
Теорема 20.5. Если функция
на интервале
имеет все производные и можно указать число
такое что
для
, то
представима рядом Тейлора на этом интервале.
Пусть
, тогда используя формулу (20.9), и по условию теоремы получаем:
(20.10)
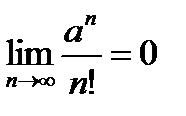
Так как
при
, то из (20.10) следует, что выполняется (20.6), то есть в точке х справедливо равенство (20.7)
Теорема 20.6. Для того чтобы функция
была представлена степенным рядом в окрестности точки а достаточно, чтобы существовали числа
и
, такие что
имеет все производные в интервале
и 
|
|
|
§ 4 Примеры разложения основных элементарных функций в ряд Тейлора.
Найдем разложение основных элементарных функций в ряд Тейлора в окрестности точки
, то есть в ряд вида
(20.11)
который называется рядом Маклорена. Заметим, что коэффициенты
разложения (20.11)для основных элементарных функций найдены.