Пусть
, тогда
выполняется неравенство:

По теореме (20.4) ряд (20.11) для функции
сходится к этой функции на интервале
при любом
, то есть радиус сходимости этого ряда 
Так как для функции
выполняются равенства
для любого
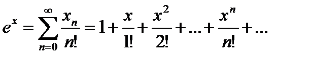
, то по формуле (20.11) получаем разложение в ряд Маклорена показательной функции.
(20.12)
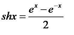
Используя разложение (20.12)и формулы:

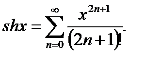
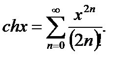
находим разложения в ряд Маклорена гиперболического косинуса и гиперболического синуса:
(20.13)
(20.14)






