На отрезке
, найти тригонометрический ряд Фурье функции
.
Решение.
Эта функция получается при четном продолжении функции
из интервала
в интервале 


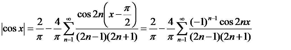
Следовательно,

Функцию
получаем из предыдущей переносом начала отсчета

Поэтому:

Пример 22.3 Найти на отрезке
тригонометрический ряд Фурье функции:

И исследовать сходимость полученного ряда.
Решение.
Продолжая функцию
периодически на всю вещественную прямую получаем непрерывную и
-периодическую функцию, имеющую в каждой точке обе односторонние производные(рис 40.4).

Ряд Фурье такой функции будет в любой сходится к значению функции в этой точке. Найдем коэффициенты Фурье. Так как функция четная, то все коэффициенты
, а
вычисляются следующим образом:
= 
Откуда







