Если периодическая функция
с периодом
кусочно монотонная на отрезке
, то ряд Фурье, построенный для этой функции, сходится во всех точках.
1. сумма полученного ряда
равна значению функции
в точках непрерывности функции.
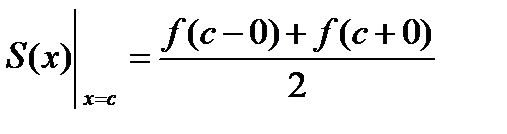
2. В точках разрыва функции
сумма рода равна среднему арифметическому пределов функции
справа и слева, то есть если
точка разрыва функции
, то

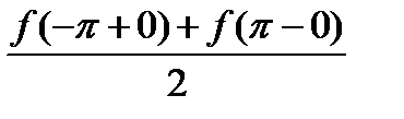
3. В обеих граничных точках интервала сумма ряда равна также среднему арифметическому предельных значений функции при стремлении независимой переменной к этим точкам изнутри интервала

В частности, если функция
гладкая и ее значения на концах интервала
равны между собой, то разложения ее ряда Фурье справедливо во всем замкнутом интервале.
Сформулируем еще один достаточный признак сходимости ряда Фурье
Теорема 22.3 Если функция
периода
непрерывна на своей действительной оси и имеет кусочно непрерывной производную на периоде, то ее ряд Фурье равномерно сходится к ней







