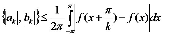
Интегрируя по частям и учитывая, что
, имеем
=
(22.14)
Поэтому: 
Интегрируя по частям правую часть (22.14) последовательно и учитывая, что производные непрерывны и принимают одинаковые значения в точках
и
, а также оценку (22.12) получаем первую оценку (22.13). вторая оценка в (22.13) получается подобным образом.
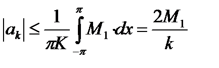
Теорема 22.5. Для коэффициентов Фурье функции
имеет место неравенство:
(22.15)
Теорема 22.6. Теорема Римана. Пусть функция
аюсолютно интегрируема на конечном интервале (a,b). Тогда







