1. Определение комплексного числа.
Комплексным числом называется выражение вида х+іу, где х и у - действительные числа, а і- символ, который называется мнимой единицей, числа х и у называется, соответственно, действительной и мнимой частям комплексного числа х+іу и обозначаются символами
х= Re (x+iy), y= Im (x+iy). (23.1)
Если в частности, у=0, то х+і0 читается совпадающим с действительным числом х; если х=0, то 0+іу обозначается просто іу и называется чисто мнимым.
Таким образом, в состав комплексных чисел входят также действительные числа. Если множество всех комплексных чисел обозначают через C, то R
C.
Определим на множестве комплексных чисел понятия равенства и простейшие операции.
· Два комплексных числа считаются равными, если равны порознь их действительные и мнимые части, то есть
х1 +іу1 =х2+іу2
Считаются равными тогда и только тогда, когда х1=х2, у1=у2.
· Комплексное число х-іу называется сопряженными с комплексным числом z=х+iy и обозначается
=х -іу (23.2)
Комплексное число х+iy принято обозначать одной буквой Z, т.е. Z=х+iy, тогда формула (23.1) пишется в виде:
|
|
|
Х= Re(x+iy)= ReZ, Y= Im(х+iy)=Im
а из (23.2)
(23.3)
(Re и Im –являются сокращениями французских слов Reel - действительный и Imaginanize - мнимый).
Число
называется модулем комплексного числа Z=х+iy и обозначается
:
=
=
(23.4)
Очевидно,
, причем
=0, тогда и только тогда, когда
=0. Модуль действительного числа совпадает с абсолютной величиной этого числа.Отметим две формулы:
=
(23..5)
Z
=
(23.6)
которые вытекают из (23.3), (23.4) и равенства
ZZ =(х+iy)(
)= x2+y2
Теперь рассмотрим операции над комплексными числами.
I. Сложение. Суммой Z1+ Z2 комплексных чисел Z1=х1+iy1 и Z2-=х2+iy2
называется комплексное число
(23.7)
Из этого определения непосредственно вытекают следующие законы сложения:
А) переместительный: (или закон коммутативности)
Z1+Z2=Z2+Z1,
Б) сочетательный (ассоциативности):
Z1 + (Z2+Z3) = (Z1+Z2) + Z3.
Если Z1 и Z2 действительные числа (т.е. У1=У2=0), то определение (23.7) совпадает с определением сложения для действительных чисел.
Сложение допускает обратную операцию: для любых комплексных чисел Z1=х1+ iy1 и Z2= х2+ iy2 можно найти такое число Z, что Z2+Z=Z1. Это число называется разностью чисел Z1 и Z2 и обозначается символом Z1- Z2.
Очевидно
Z= Z1- Z2 = (х1-х2) +і (у1-у2) (23.8)
Умножение. Произведением Z1,Z2 комплексных чисел Z1=х1+iy1 и Z2=х2+iy2 называется комплексным число
Z= Z1* Z2 = (Х1Х2-У1У2) + і(Х1У2+У1Х2) (23.9)
Умножение комплексных чисел обладает следуюшими своиствами:
А) переместительный: Z1* Z2= Z2* Z1:
Б) сочетательный: Z1 (Z2 *Z3) = (Z1* Z2) Z3:
В) распределительный (дистрибутивности)
Z1 (Z2 +Z3) = Z1 Z2+ Z1 Z3
Если Z1 и Z2 – действительные числа, то определение (23.9) совпадает с обычным. При Z1= Z2=і из определения произведения следует:
|
|
|
(23.10)
Умножение также допускает обратную операцию, если только данный множитель не равен нулю. Пусть Z2
, тогда можно найти такое число Z, что Z2 Z= Z1 , для этого, согласно (23.9) надо решить систему уравнений
(23.11)
которая при Z2
всегда однозначно разрешима, так как ее определитель Х
+У
> 0. Это число называется частным двух чисел Z1 и Z2 и обозначается символом Z.
Решая систему (23.11)
Z = Z1 /Z2 =
i (23.12)
легко заметить, что (23.12) может быть получено умножением числителя и знаменателя дроби Z1/Z2 на
.
Пример 23.1. Даны числа Z1=1+2i, Z2 =4+3i найти Z1Z2 и 
Решение. Согласно формуле (23.9) имеем
Z1Z2= (1+2i) (4+3i) ==(1*4-2*3)+i(1*3+2*4)=2+11i.
Применяя формулу (1.12), получим
Z=
= =
.
3. Возведение в целую степень. Произведение n равных чисел Z называется n -й степенью числа Z и обозначается символом Zn:
(23.13)
n –раз.
Обратная операция – извлечение корня – определяется следующим образом: число W называется корням n-й степени из числа Z,если Wn=Z (обозначается символом
, причем для n=2 пишут просто
). Эта для всякого Z
корень
имеет n различных значений.
Так как ii=i2=-1 мы можем писать
i=
(23.14)
2. Геометрическая иллюстрация
| Рис 1.1 |
| Рис 1.2 |
Такое соответствие между комплексными числами и точками плоскости, очевидно, является взаимно однозначным. При этом действительные числа изображаются точками оси абсцисс, а число мнимые точками оси ординат. Поэтому ось абсцисс называется действительной осью, а ось ординат - мнимой осью. Плоскость, на которой изображаются комплексные числа, называется комплексной плоскостью. Комплексное число Z изображается также вектором с началом точке 0 и концом в точке Z. Рис 1.1 Из формулы (1.4) и (рис. 1.1) и видно, что длина вектора Z равна
и имеют место неравенства.

С помощью векторной интерпретации наглядно иллюстрируются сложение и вычитание комплексных чисел. Из формулы (23.7) вытекает, что число по обычному правилу сложения векторов Z1 Z2(рис.1.2.).Вектор Z1-Z2 строится как сумма векторов Z1и -Z2. (рис.1.2.)
Из (рис.1.2) видно, что расстояние между точками Z1 и Z2 равно длине вектора Z1-Z2, то есть равно
Пример 23.2. Множество точек Z, удовлетворяющих уравнению
, есть окружность радиуса R с центром в точке
, так
- расстояние между точками Z и Z0.
Пример 23.3. МножествоZ, удовлетворяющих уравнению
, есть множество точек равноудаленных от точек Z1и Z2 . Следовательно, это уравнение прямой, перпендикулярной отрезку, соединяющему точки Z1 и Z2, и проведенной через его середину.
Пример 23.4. а) Множество точек Z удовлетворяющих уравнению
,
есть эллипс с фокусами в точках Z1,Z2 и с большой полуосью, равной а так как
- сумма расстояний от точки Z до точек Z1 иZ2 .
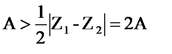
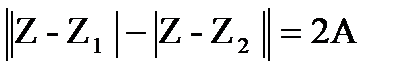
б) Аналогично, уравнение
, где
, является уравнением гиперболы с фокусами в точках Z1,Z2 и с действительной полуосью, равной а.
Неравенства треугольника. Для любых комплексных чисел Z1 и Z2 имеют место неравенства
(23.15).
Доказательство. Длина сторон треугольника с вершинами в точках 0, Z1 , Z1 + Z2 равны
и
(рис.1.2). Следовательно, неравенство (23.15) является известным из элементарной геометрии неравенством для длин сторон треугольника.
Следствие. Для любых комплексных чисел Z1 , Z2 ,… Zn имеет место неравенство
(23.16)
§3.Тригонометрическая алгебраическая, показательная формы записи комплексных чисел. Аргумент и главное значение аргумента. Форму записи комплексного числа Z в виде Z= х+iу называет алгебраической.
| Z=х + iy алгебраическая форма комплекс- ного числа. |
| Рис23.3 |
комплексной плоскости однозначно определяется не только декартовыми координатами Х, У, но и полярными координатами
(рис.23.3), где r =
- расстояние от точки до точки Z, а
- угол между действительной осью и вектором Z, отсчитываемый от положительного направления действительной оси. При этом если отсчет ведется против часовой стрелки, то величина угла считается положительной, а если по часовой стрелке - отрицательной.
|
|
|
Этот угол называется аргументом комплексного числа Z (Z
) и обозначается так:
=arg Z (обозначение arg является сокращением французского слова argument (аргумент)). Для числа Z =0 аргумент не определяется, поэтому во всех дальнейших рассуждениях, связанных с понятием аргумента предполагается, что Z 
Из рис 23.3. видно, что
x = cos
, y = rsin
(23.17)
Следовательно, любое комплексное число Z
можно представить в виде.
Z=r (cos
+isin
) (23.18)
Запись комплексного числа в виде (23.18) называется тригонометрической формой комплексного числа. Таким образом запись Z=r (cosφ+isinφ) тригонометрическая форма комплексного числа. Из формулы (23.17) вытекает, что если
z=х+iу,
=argz, то cos
=
, sin
=
(23.19)
Система (23.19) имеет бесконечно много решений, и все эти решения задаются формулой
, 
Таким образом, аргумент комплексного числа определяется неоднозначно: если
- одно из значений аргумента комплексного числа Z, то все значения аргумента этого числа находится по формуле
arg Z=
… (23.20)
Из системы (23.19) видно, что аргумент
комплексного числа Z= х+iу удовлетворяет уравнению
tg
(23.21)
Следует иметь в виду, что не все решения уравнения (23.21) являются решениями системы (23.19)
Таким образом, либо 0
arg Z
, либо -
.
Значение arg Z = arg (x+iy) легко выразить через arсtg
. Учитывая что-
arctg
в случае, если 0
arg Z<
получаем
если если если если если |
Если же -
arсtg
то
если если если если если если |
В дальнейшем, если не оговорено особо будем считать, что -
arg Z 
Пример 23.5. Даны числа Z1=-3+4i, Z2 =4-3i. Найдите главные значения аргумента этих чисел. Запишите эти числа в тригонометрической форме.
Решение.
Так как ReZ1=x=-3, ImZ1=y=4, то arg Z=
, ReZ2=x=4, ImZ2=y= -3
Поэтому arg Z2=
, поскольку
r= 


Пример 23.6. Найдем аргумент комплексного числа Z=-1-i.
Так как точка Z=-1-i. лежит в третьей четверти и tg
, то
arg (-1- i) =
,
...
Если
=1,
=arg
, то по формуле (23..18) имеем z=cos
+isin
. Комплексное число cos
+isin
обозначается символом еi
, т.е. функция еi
для любого действительного числа
определяется формулой Эйлера
|
|
|
е i
= cos
+isin
(23.22)
В частности
=1 е
=-1,
=i,
=- i,
=1 для любого действительного числа 
Из (23.22) заменой φ на – φ получим
е-iφ=cos φ-і sin φ (23.23)
Сложением и вычитанием равенств (23.22) и (23.23) получаем формулы Эйлера
cos
=
sin
=
(23.24) 
с помощью которых тригонометрические функции выражаются через показательную функцию.
Функция еi
обладает обычными свойствами показательной функции, как если бы число i было действительным. Отметим основные из них:
=
(23.25)
=
(23.26)
(еi
)n = еin
, n=0,
... (23.27)
Докажем равенство (23.25).Имеем
=
= 
= cos
i sin
=е i
аналогично проверяется равенство (23.26). Равенство (23.27) получается из (23.25) и (23.26).
Из (23.27) и (23.22) вытекает формула Муавра
=cosn
+i sinn
,n=0
(23.28)
Из формулы (23.18) и (23.22) следует, что любое комплексное число
можно представить в виде
Z= rei
(23.29) где r =
=arg
. Запись комплексного числа в виде (23.29) называется показательной формой комплексного числа. С помощью (23.25) и (23.26) можно получить формулы умножения и деления комплексных чисел, записанных в показательной форме:
Z 1 Z 2 = r1 еi
. r2 еi
= r1 r2 еi
(23..30)
= r1 еi
/ r2 еi
= r1/ r2 е i
(23.31)
Из формулы (23.30) следует, что модуль произведения двух комплексных чисел равен произведению модулей этих чисел:
=
а сумма аргументов сомножителей является аргументом произведения: если
=argZ1,
=argZ2 тo
+
=arg(Z1Z2 ) (23.32)
Аналогично из формулы (23.31) вытекает, что модуль частного двух комплексных чисел равен частному модулей этих чисел:
=
, Z2
, а разность аргументов делимого и делителя является аргументом частного, если
=arg Z1 ,
=arg Z2 ,то
= arg
(23.33)
Таким образом, при умножении и делении комплексных чисел, записанных в тригонометрической форме, имеет место следующая теорема.
если
если
если
если
если
если
если