При умножении двух комплексных чисел их модули умножаются, а аргумент складывается. При делении комплексных чисел их модули делятся, а аргумент вычитывается.
Доказательство. Пусть
Z 1 = r1 (cos
+ isin
).Z 2 = r 2 (cos
+ isin
)
тогда
Z1Z2=r1r2
=
= r1r2
cos
+i sin

Аналогично, легко получить, что
=
cos
+i sin
r 2
из доказанной теоремы следует правило возведения комплексного числа в целую положительную степень
Z n=
= 
Очевидно i4m=1, i4m+1=i, i4m+2=-1, i4m+3=-i m>0 любое целое число.
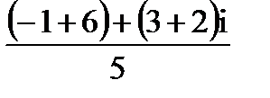
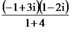
Пример 23.7. Число i82+3i27/ i44-2i51 записать в алгебраической форме
Решение. Так как i82=i4*20+2=-1, i37=i4*9+1= i
i44= (i4)11=1 i51=i4*12+3= -i, то Z = (-1+3i) /
/ (1+2i)
поэтому
Z=
=
=
= 






