Из сходимости последовательности
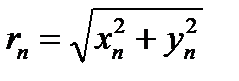
{Zn}={xn+iyn}={rn(cosjn+isinjn)}
к числу
Z0=х0+iy0= {r0(cosj0+isinj0)}
при соответствующем выборе аргументов j0 и jn следует, что
,
.
Справедливость утверждения следует из теоремы 24.1. о непрерывности функции
и
,
так как
, 
Теорема 24.3. (Критерий Коши).
Для того чтобы последовательность {Zn} сходилась, необходимо и достаточно, чтобы для любого e>0 существовало число N(e) такое, что при любых n> N и любом р=1,2,... выполнялось неравенство

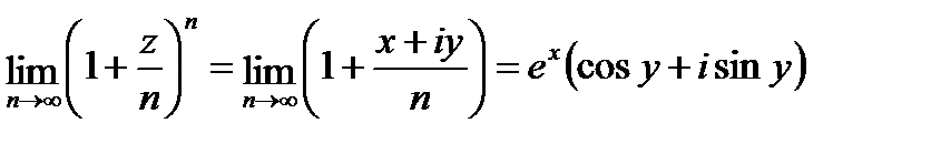
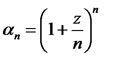
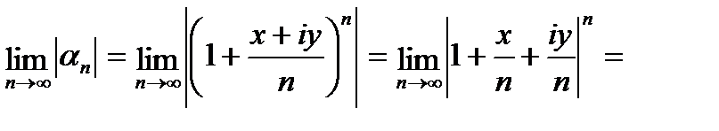
Рассмотрим последовательность
, где Z=х+iy любое конечное комплексное число. Чтобы доказать существование и найти
, рассмотрим
и
.
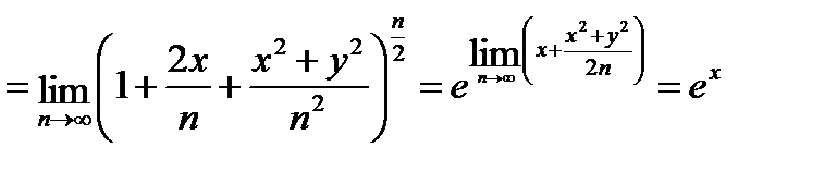
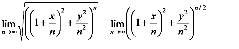
Находим
=

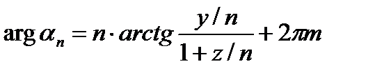
Так как при возведении в целую положительную степень комплексного числа его аргумент умножается на эту степень, то
,
где m – любое целое число.
Поэтому 
.
Согласно теоремы 2.2. имеем

По определению положим
(24.1.)
Из (24.1.) при х=0 получаем, что

Отсюда следует, что любое комплексное число
, не равное нулю можем записать в виде
(24.2.)






