а) функция f(z)=ez=excosy+ieхsiny дифференцируема во всей комплексной плоскости. Так как
=excosy=
,
=-exsiny=- 
По формуле находим.
+i
=excosy+iexsiny=ez,
т.е.
(ez)=ez (25.14)
б) Функции sinz, cosz, shz, chz дифференцируемы во всей комплексной плоскости, и их производные вычисляются по формулам:
(sinz)¢=cosz, (cosz)¢=-sinz, (25.15)
(shz)¢=chz, (chz)¢=shz (25.16)
в) Рассмотрим функцию
2=x2-y2-i2xy,
имеем
=2X,
=-2y,
=-2y,
=+2x
Условия (25.8) выполняются только при x=y=0, следовательно, функция
2 дифференцируема только в точке z=0
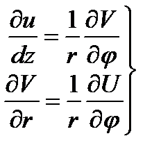
Пусть Z=rei
, тогда f(z)= U (z,
)+iV(z,
), и условия Коши-Римана в полярных координатах имеют вид
(25.17)
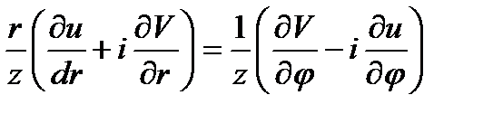
Следовательно,
(z)=
(25.18)






