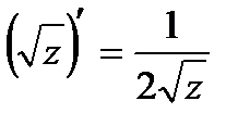
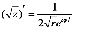
Пусть D- плоскость Z с разрезом вдоль положительной действительной полуоси.
а) Функция
=
ei
/2,где Z= r ei
, 0<
<2
удовлетворяет условиям (25.17) и поэтому
- дифференцируемая в D функция. По формуле (25.18) находим
, то есть
(25.19)
б) Функция lnz=lnz+i
(z= r ei
, 0<
<2
)
удовлетворяет условиям (25.17) и
(lnz)=1/z (25.20)
Определение 25.2. Функция W=f(z) называется аналитической в данной точке Z
D, если она дифференцируема как в самой точке Z, так и в некоторой ее окрестности. Функция f(z) называется аналитической в области D, если она дифференцируема в каждой точке этой области. Для любой аналитической функции f(z) имеем
F (z) =
+i
=
-i
=
-i
=
+i
(*)
Пример 25.5. Показать, что функция W=ez является аналитической на всей комплексной плоскости.
Решение. Имеем ez=ex(cosy+isiny), так что U(x,y)=excosy, V(x,y)=exsiny.
Функции U(x,y) и V(x,y), как функции действительных переменных х и у дифференцируемы в любой точке (x,y) (они имеют непрерывные частные производные любого порядка) и при этом удовлетворяют условиям (25.8).
Следовательно, функция W=ez всюду аналитическая. Для f (z)=ez получаем согласно формуле (*)
|
|
|
(ez)=(excosx)x+i(eхsiny)x= ex(cosy+isiny)=ez
Итак, (ez)¢=ez.
Пример 25.6. Является ли функция W=Z
аналитической хотя бы в одной точке?
Решение. Имеем Z
=x2+y2, так что
U(x,y)= x2+y2; V(x,y) 
Условия Коши-Римана в этом случае имеют вид

и удовлетворяются только в точке (0,0).
Следовательно, функция W=Z
дифференцируема только в точке Z=0 и нигде не аналитична.
Пример 25.7. Является ли функция W=
=x-iy аналитической?
Решение. Здесь U(x,y)=х, V(x,y)=-y
-всюду дифференцируемые функции переменных Х и У. Далее
=1,
=0,
=0,
=-1.
Так что
, т.е. первое из условий Коши-Римана не выполняется ни в одной точке комплексной плоскости.
Значит, функция W=
– нигде не дифференцируема, следовательно, и не аналитическая.
Примеры:
1. Проверить условия Коши-Римана для следующих функций:
A) W=sinZ, B) W=lnZ
б) W= cosZ г) w=ArcsinZ,
д) W=Zn (n - целое число)
2. Найти аналитическую функцию переменной Z (Z=x+iy), действительная часть которой равна:
а)x3-3xy2, б) x2-y2+2x, в) x/ x2+y2
г) x/ x2+y2-2y
д) 2exsiny
Ответы: а) z3+Ci, б) z2+2z+Ci, в) 1/z+Ci,
г) 1/z+2iZ+Ci, д) -2iez+Ci.
Пользуясь условиями Коши-Римана, выяснить, какие из следующих функций являются аналитическими, хотя бы в одной точке, а какие нет:
а)W=Z2Z
б)W=Zez
в)W= |Z| 
г) W=zReZ
д) W=ZlmZ
е) W= 






