Лабораторная работа 3
Контроль качества готовых макаронных изделий
Цель работы: Научиться определять качество макаронных изделий по органолептическим и физико-химическим показателям.
Оборудование: шкаф сушильный СЭШ-3 М, эксикатор, металлические бюксы, титровальная установка, весы лабораторные, прибор Строганова, плитка электрическая, кастрюля, лабораторная посуда, сито №27, мельница.
Реактивы: 0,1 моль /дм3 NaOH, 1% фенолфталеин.
Материалы: макаронные изделия.
Ход работы:
Определение органолептических показателей качества макаронных изделий ГОСТ 14849
Таблица 1-Органолептические показатели качествамакаронных изделий
| Наименование показателей | Характеристика макаронных изделий |
| Цвет | Однотонный с кремовым или желтоватым оттенком, соответствующим сорту муки, без следов непромеса. Цвет изделий с добавками соответственно меняется. Предпочтительным является золотисто-желтый, янтарный, который получается у изделий из крупки твердой пшеницы |
| Вкус и запах | Свойственный данному виду изделий, без посторонних привкусов и запахов (горечи, затхлости, плесени в др.), Для изделий с добавками вкус соответственно меняется |
| Поверхность | Изделия должны быть гладкими, допускается незначительная шероховатость |
| Форма | Должна быть правильной, соответствовать их наименованию. В макаронах, перьях, вермишели и лапше допускаются изгибы и искривления, не ухудшающее товарный вид изделия |
| Излом | Стекловидный |
| Зараженность вредителями | Не допускается |
| Содержание металопримесей | В 1кг не более 3 мг |
Вывод:
|
|
|
Определение влажности макаронных изделий
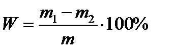
Около 50 г макаронных изделий измельчают в фарфоровой ступке и размалывают на лабораторной мельнице до полного прохода через сито с диаметром 1мм. Из массы, прошедшей через сито, берут навески для определения влажности. Высушивание измельченных макаронных изделий проводят ускоренным методом (см. лабораторную работу1).

где m1 – масса чашечки с навеской до высушивания, г;
m2 – масса чашечки с навеской после высушивания, г;
m – масса навески изделия, г.
За окончательный результат принимают среднее арифметическое результатов двух параллельных определений.
Допустимые расхождения при параллельных определениях 0,2%.
Влажность вычисляют с точностью до 0,5%, доли до 0,25 включительно отбрасывают, доли свыше 0,25 и до 0,75 включительно приравнивают к 0,5, доли свыше 0,75 приравнивают к 1.
Форма записи:
Температура СЭШ-3М – Продолжительность высушивания –
| Образец макаронных изделий | № бюкса | Масса бюкса с навеской до высушивания М1, г | Масса бюкса с навеской после высушивания М2, г | Масса навески (М), г | Влажность |
| Средний результат |
Вывод:
|
|
|






