Действующую силу F воспринимает опорная кольцевая поверхность головки стержня.
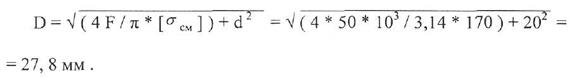
Диаметр D головки стержня определяем из условия прочности на смятие

где Асм - площадь поверхности смятия головки стержня. Смятие головки стержня происходит по кольцевой поверхности.
Поэтому
- площадь кольца.
Отсюда:

Принимаем окончательно D = 8 мм - диаметр головки стержня.

Рис. 2.5
Третья задача. К решению этой задачи следует приступить после изучения темы «Кручение».
Кручением называют такой вид нагружения бруса, при котором в его поперечных сечениях возникает только один внутренний силовой фактор – крутящий момент МК (или МZ).
Крутящий момент в произвольном поперечном сечении бруса равен алгебраической сумме внешних моментов, действующих на отсеченную часть: МК = åМi (имеется в виду, что плоскости действия всех внешних скручивающих моментов Мi перпендикулярны продольной оси бруса).
Будем считать крутящий момент положительным, если для наблюдателя, смотрящего на проведенное сечение, он представляется направленным по часовой стрелке. Соответствующий внешний момент направлен против часовой стрелки (рисунок 2).
|
|
|
![]() |
Рисунок 2.6
В третьей задаче необходимо выполнить проектный расчет вала круглого или кольцевого поперечного сечения из условий прочности.
Последовательность решения задачи:
1. Определить внешние скручивающие моменты по формуле
М = Р/ω,
где Р – мощность,
ω – угловая скорость.
2. Определить уравновешивающий момент, используя уравнение равновесия åМi = 0, так как при равномерном вращении вала алгебраическая сумма приложенных к нему внешних скручивающих (вращающих) моментов равна нулю.
3. Пользуясь методом сечений, построить эпюру крутящих моментов по длине вала.
4. Для участка вала, в котором возникает наибольший крутящий момент, определить диаметр вала круглого сечения из условия прочности.
5.Из условия прочности:
,
где
– наибольший крутящий момент;
Wp – полярный момент сопротивления кручению;
[ tК ] – допускаемое касательное напряжение на кручение.
Сечение вала – круг

Необходимый по прочности диаметр вала

Пример 4.
Для стального вала (рисунок 2.7, а) постоянного по длине сечения требуется:
1) определить значения моментов М2 и М3, соответствующие передаваемым мощностям Р2 и Р3, а также уравновешивающий момент М1;
2) построить эпюру крутящих моментов;
3) определить требуемый диаметр вала круглого поперечного сечения из расчета на прочность.
Принять: [ tК ] = 30 МПа; Р2 = 52кВт; Р3 = 50 кВт; ω = 20 рад/с.
Окончательное значение диаметра округлить до ближайшего четного (или оканчивающегося на пять) числа.

Рисунок 2.7
Решение:
1. Определяем внешние скручивающий моменты:
|
|
|


2. Определяем уравновешивающий момент М1:

3. Определяем крутящий момент пор участкам вала:


Строим эпюру крутящих моментов МZ (рисунок 3, б).
4. Определяем диаметр вала из условия прочности:

Сечение вала – круг
Из условия прочности:

Принимаем d = 95 мм.
Четвертая задача. К решению этой задачи следует приступить после изучения темы «Изгиб».
Изгиб – это такой вид нагружения бруса, при котором в его поперечных сечениях возникают изгибающие моменты. В большинстве случаев одновременно с изгибающими моментами возникают и поперечные силы; такой изгиб называют поперечным: если поперечные силы не возникают, изгиб называют чистым.
Изгибающий момент МИ в произвольном поперечном сечении бруса численно равен алгебраической сумме моментов внешних сил, действующих на отсеченную часть, относительно центра тяжести рассматриваемого сечения:
МИ = åМ.
Поперечная сила в произвольном поперечном сечении бруса численно равна алгебраической сумме внешних сил, действующих на отсеченную часть бруса:
Q = åF.
Причем все внешние силы и моменты действуют в главной продольной плоскости бруса и расположены перпендикулярно продольной оси бруса.
Правило знаков для поперечной силы:
внешние силы,поворачивающие отсеченную часть балки относительно рассматриваемого сечения по ходу часовой стрелки, принимаются со знаком плюс (рисунок 2,8, а), а силы,поворачивающие отсеченную часть балки относительно рассматриваемого сечения против хода часовой стрелки, принимаются со знаком минус (рисунок 2.8, б).
Правило знаков для изгибающих моментов: внешние моменты, изгибающие мысленно закрепленную в рассматриваемом сечении отсеченную часть бруса выпуклостью вниз, принимаются со знаком плюс (рисунок 2.9, а), а моменты, изгибающие, отсеченную часть бруса выпуклостью вверх, – со знаком минус (рисунок 2.9, б).
На основе метода сечений и дифференциальных зависимостей устанавливается взаимосвязь эпюр Мх и Qy между собой и с внешней нагрузкой, поэтому достаточно вычислить ординаты эпюр для характерных сечений и соединить их линиями.
Характерными при построении эпюр Q являются сечения балки, где приложены сосредоточенные силы (включая опорные сечения), и сечения, ограничивающие участки с равномерно распределенной нагрузкой; при построении эпюр Mизг. дополнительно к перечисленным принимаются сечения, где приложены внешние моменты М.

Рисунок 2.8 Рисунок 2.9
Приведем некоторые правила построения эпюр.
Для эпюры поперечных сил:
1. На участке, нагруженном равномерно распределенной нагрузкой, эпюра изображается прямой, наклоненной к оси балки.
2. На участке, свободном от распределенной нагрузки, эпюра изображается прямой, параллельной оси балки.
3. В сечении балки, где приложена сосредоточенная пара сил, поперечная сила не изменяет значения.
4. В сечении, где приложена сосредоточенная сила, значение поперечной силы меняется скачкообразно на величину, равную приложенной силе.
5. В концевом сечении балки поперечная сила численно равна сосредоточенной силе (активной или реактивной), приложенной в этом сечении. Если в концевом сечении балки не приложена сосредоточенная сила, то поперечная сила в этом сечении равна нулю.
Для эпюры изгибающих моментов:
1. На участке, нагруженном равномерно распределенной нагрузкой, эпюра моментов изображается квадратичной параболой. Выпуклость параболы направлена навстречу нагрузке.
2. На участке, свободном от равномерно распределенной нагрузки, эпюра моментов изображается прямой линией.
3. В сечении балки, где приложена сосредоточенная пара сил, изгибающий момент меняется скачкообразно на величину, равную моменту приложенной пары.
4. Изгибающий момент в концевом сечении балки равен нулю, если в нем не приложена сосредоточенная пара сил. Если же в концевом сечении приложена активная или реактивная пара сил, то изгибающий момент в сечении равен моменту приложенной пары.
|
|
|
5. На участке, где поперечная сила равна нулю, балка испытывает чистый изгиб, и эпюра изгибающих моментов изображается прямой, параллельной оси балки.
6. Изгибающий момент принимает экстремальное значение в сечении, где эпюра поперечных сил проходит через нуль, меняя знаки с «+» на «–» или с «–» на «+».
В четвертой задаче требуется построить эпюры поперечных сил и изгибающих моментов, а также подобрать размеры поперечного сечения балки в форме прямоугольника или круга, приняв для прямоугольника отношение высоты к ширине h/b = 1,5.
Условие прочности для балок с сечениями, симметричными относительно нейтральной оси, имеет вид:

где Wx – осевой момент сопротивления сечения.
Для подбора сечения балки (проектного расчета) из условия прочности определяют необходимое значение осевого момента сопротивления:
M x max
Wx≥ ----------
[σ]
По найденному моменту сопротивления Wx определяют размеры соответствующих сечений.
Последовательность решения задачи:
1.Определить реакции опор балки и проверить правильность найденных реакций.
2. Балку разделить на участки по характерным сечениям.
3. Определить вид эпюры поперечных сил на каждом участке в зависимости от внешней нагрузки, вычислить поперечные силы в характерных сечениях и построить эпюру поперечных сил.
4. Определить вид эпюры изгибающих моментов на каждом участке в зависимости от внешней нагрузки, вычислить изгибающие моменты в характерных сечениях и построить эпюру изгибающих моментов.
5. Для данной балки, имеющей по всей длине постоянное поперечное сечение, выполнить проектный расчет, т.е. определить Wx в опасном сечении, где изгибающий момент имеет наибольшее по модулю значение.
6. Определить требуемые размеры сечения балки, учитывая форму сечения (круг или прямоугольник).
Для того чтобы решить четвертую задачу, необходимо внимательно изучить тему «Изгиб», методические указания к задаче 4, а также приведенный далее пример.
|
|
|
Пример 5. Для заданной двухопорной балки (рисунок 2.10, а) определить реакции опор, построить эпюры поперечных сил, изгибающих моментов и определить размеры поперечного сечения (h, b, d) в форме прямоугольника или круга, приняв для прямоугольника h/b = 1,5. Считать [s] = 160 МПа.
