* Функция задана неявно, если она определена уравнением F(x,y) =0

Можно догадаться, что задача дифференцирования неявно заданных функций решается простым дифференцированием уравнения.

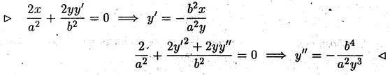
Пример 6. Выразив для эллипса явную зависимость у от х вычислить у' и у". Полученный результат сравнить с результатами примеров 4 и 5. Оценить какое задание функции быстрее приводит к результату (самостоятельно).
Лекция 22. Теоремы о среднем
В этой лекции будут получены некоторые важные соотношения между производной функции и самой функцией.






