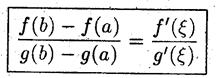
Если функции f(x) и g(x):
— непрерывны на отрезке [а, b],
— дифференцируемы на интервале [а,b],
— g'(x)≠ 0,
тогда найдётся такая точка ξ
(а,b), в которой выполняется соотношение

(*)
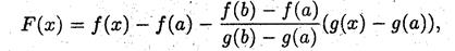
Ø Для доказательства вводится вспомогательная функция, удовлетворяющая всем условиям теоремы Ролля








