?id_course:?
?module: 1
?section: 1
?theme: Введение
?concept: Основные определения
?diff: легкий
t: Меры безопасности
(*): все виды правовых, организационно-методических мероприятий и деятельность специалистов, направленных на обеспечение безопасности работающих
(): система технических средств, предотвращающих воздействие на работающих опасных и вредных факторов
(): принятые ограничения, регламентирующие предельно допустимые величины опасных и вредных факторов, средств защиты, периодичность их испытаний и других величин
(): обязательные предписания, определяющие безопасные способы и приемы работы, правильное применение средств защиты
(): средства, используемые для предотвращения или уменьшения воздействия на работающих опасных и вредных факторов
(): все виды правовых, организационно-методических мероприятий и деятельность специалистов, направленных на обеспечение безопасности работающих
(*): система технических средств, предотвращающих воздействие на работающих опасных и вредных факторов
|
|
|
(): принятые ограничения, регламентирующие предельно допустимые величины опасных и вредных факторов, средств защиты, периодичность их испытаний и других величин
(): обязательные предписания, определяющие безопасные способы и приемы работы, правильное применение средств защиты
(): средства, используемые для предотвращения или уменьшения воздействия на работающих опасных и вредных факторов
t: Нормы безопасности
(): все виды правовых, организационно-методических мероприятий и деятельность специалистов, направленных на обеспечение безопасности работающих
(): система технических средств, предотвращающих воздействие на работающих опасных и вредных факторов
(*): принятые ограничения, регламентирующие предельно допустимые величины опасных и вредных факторов, средств защиты, периодичность их испытаний и других величин
(): обязательные предписания, определяющие безопасные способы и приемы работы, правильное применение средств защиты
(): средства, используемые для предотвращения или уменьшения воздействия на работающих опасных и вредных факторов
(): все виды правовых, организационно-методических мероприятий и деятельность специалистов, направленных на обеспечение безопасности работающих
(): система технических средств, предотвращающих воздействие на работающих опасных и вредных факторов
(): принятые ограничения, регламентирующие предельно допустимые величины опасных и вредных факторов, средств защиты, периодичность их испытаний и других величин
(*): обязательные предписания, определяющие безопасные способы и приемы работы, правильное применение средств защиты
|
|
|
(): средства, используемые для предотвращения или уменьшения воздействия на работающих опасных и вредных факторов
t: Средства защиты от опасных и вредных факторов
(): все виды правовых, организационно-методических мероприятий и деятельность специалистов, направленных на обеспечение безопасности работающих
(): система технических средств, предотвращающих воздействие на работающих опасных и вредных факторов
(): принятые ограничения, регламентирующие предельно допустимые величины опасных и вредных факторов, средств защиты, периодичность их испытаний и других величин
(): обязательные предписания, определяющие безопасные способы и приемы работы, правильное применение средств защиты
(*): средства, используемые для предотвращения или уменьшения воздействия на работающих опасных и вредных факторов
t: Охрана труда
(): все виды правовых, организационно-методических мероприятий и деятельность специалистов, направленных на обеспечение безопасности работающих
(): система технических средств, предотвращающих воздействие на работающих опасных и вредных факторов
(): обязательные предписания, определяющие безопасные способы и приемы работы, правильное применение средств защиты
(): средства, используемые для предотвращения или уменьшения воздействия на работающих опасных и вредных факторов
(*): система законодательных актов и социально-экологических, санитарно-гигиенических и организационно-технических мероприятий, обеспечивающих безопасность, сохранение здоровья и работоспособности человека в процессе трудовой деятельности
t: Опасный производственный фактор
(): фактор, который может привести к профессиональному заболеванию
(): фактор, который может привести понижению комфортности
(): фактор, который может привести в снижению работоспособности
(*): фактор, который может привести к травмированию человека
t: Опасный производственный фактор
(): фактор, который может нарушить комфортность жизнедеятельности работающего
(): фактор, который приводит к чрезвычайной ситуации
(): фактор, который приводит к нарушению функционирования головного мозга
(*): фактор, который может привести к травмированию человека
t: Вредный производственный фактор
(*): фактор, который может привести к профессиональному заболеванию
(): фактор, который может привести понижению комфортности
(): фактор, который может привести в снижению работоспособности
(): фактор, который может привести к травмированию человека
t: Вредный производственный фактор
(): фактор, который может нарушить комфортность жизнедеятельности работающего
(): фактор, который приводит к чрезвычайной ситуации
(*): фактор, который может привести к профессиональному заболеванию
(): фактор, который приводит к нарушению функционирования головного мозга
?theme: Система безопасности
?concept: Модель системы «человек-техника-среда»
?diff: легкий
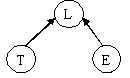
t: Отношения множества людей к множеству технических устройств
(*): LR1T,
(): LR2E,
(): LR4Y,
(): LR2E
t: Отношениями множества технических устройств к множеству элементов среды
(): R5L
(*): R6E
(): R7J
(): TR8Y
t: Отношениями множества элементов среды к множеству информации
(): ER9L
(): ER10T
(*): ER11J
(): ER12Y
t: Отношениями множества информации к множеству элементов управления
(): JR13L
(): JR14T
(): JR15E
(*): JR16Y
t: Отношениями множества элементов управления к множеству людей
(): YR18T
(*): YR17L
(): YR19E
(): YR20J
?theme: Система безопасности
?concept: Состояния системы безопасности
?diff: средний
t: Безопасное состояние системы «человек-техника-среда»
(): состояние, при котором опасные или вредные факторы привели к травме, гибели, заболеванию или ухудшению работоспособности
(*): состояние техники и среды, при котором опасные или вредные факторы которых не проявляют своих опасных свойств и не могут воздействовать на человека, не могут травмировать или ухудшить состояния его здоровья
|
|
|
(): состояние, при котором опасные или вредные факторы могут проявить, но не проявили свои свойства
t: Безопасное состояние системы «человек-техника-среда»
(): состояние, при котором опасные или вредные факторы привели только к ухудшению здоровья человека
(*): состояние техники и среды, при котором опасные или вредные факторы которых не проявляют своих опасных свойств и не могут воздействовать на человека, не могут травмировать или ухудшить состояния его здоровья
(): состояние, при котором опасные или вредные факторы привели к травмированию человека
t: Опасное состояние системы «человек-техника-среда»
(): состояние, при котором опасные или вредные факторы привели к травме, гибели, заболеванию или ухудшению работоспособности
(): состояние техники и среды, при котором опасные или вредные факторы которых не проявляют своих опасных свойств и не могут воздействовать на человека, не могут травмировать или ухудшить состояния его здоровья
(*): состояние, при котором опасные или вредные факторы могут проявить, но не проявили свои свойства
t: Опасное состояние системы «человек-техника-среда»
(): состояние, при котором опасные или вредные факторы привели к ухудшению работоспособности
(): состояние техники и среды, при котором опасные или вредные факторы которых не проявляют своих опасных свойств
(*): состояние, при котором опасные или вредные факторы могут проявить, но не проявили свои свойства
t: Состояние происшествия системы «человек-техника-среда»
(*): состояние, при котором опасные или вредные факторы привели к травме, гибели, заболеванию или ухудшению работоспособности
(): состояние техники и среды, при котором опасные или вредные факторы могут привести к экономическому ущербу
(): состояние, при котором опасные или вредные факторы могут проявить, но не проявили свои свойства
t: Состояние происшествия системы «человек-техника-среда»
(*): состояние, при котором опасные или вредные факторы привели к травме, гибели, заболеванию или ухудшению работоспособности
|
|
|
(): состояние техники и среды, опасные или вредные факторы которых не проявляют своих опасных свойств и не могут воздействовать на человека, не могут травмировать или ухудшить состояния его здоровья
(): состояние, при котором опасные или вредные факторы не могут проявить, но проявляют свои свойства
?theme: Система безопасности
?concept: Вычисление вероятности нахождения системы в каждом из своих состояний
?diff: средний
t: Вероятность непопадания системы в состояние происшествия
(): [1 + Рп(t)] = Qп(t)
(*): [1 – Рп(t)] = Qп(t)
(): [1 / Рп(t)] = Qп(t)
(): [1 * Рп(t)] = Qп(t)
t: Если известны следующие данные: P2=0,2; P3=0,07;α12=0,5; α21=0,165; α23=0,15, - вероятность нахождения системы в безопасном состоянии
(*): 0,022
(): 0,011
(): 0,2
(): 0,73
t: Если известны следующие данные:
Р=0,17; P3=0,18; α12=0,72; α21=0,15; α23=0,18, - вероятность нахождения системы в безопасном состоянии
(*): 0,015
(): 0,030
(): 0,075
(): 0,65
t: Если известны следующие данные: P2=0,19;P3=0,62;α12=0,96;α21=0,24;α23=0,5- вероятность нахождения системы в безопасном состоянии
(*): 0,023
(): 0,012
(): 0,046
(): 0,19
t: Если известны следующие данные: P1=0,62;P3=0,225;α12=0,83;α21=0,155;α23=0,2- вероятность нахождения системы в опасном состоянии
(*): 0,3798
(): 0,7586
(): 0,1523
(): 0,155
t: Если известны следующие данные: P1=0,7;P3=0,01;α12=0,37;α21=0,37;α23=0,26- вероятность нахождения системы в опасном состоянии
(*): 0,1589
(): 0,3098
(): 0,0758
(): 0,2900
t: если известны следующие данные: P1=0,69;P3=0,195;α12=0,62;α21=0,069;α23=0,31- вероятность нахождения системы в опасном состоянии
(*): 0,3102
(): 0,6204
(): 0,1551
(): 0,115
T: Если известны следующие данные: P1=0,61;P2=0,335;α12=0,58;α21=0,116;α23=0,304-: вероятность нахождения системы в состоянии происшествия
(*): 0,1079
(): 0,2186
(): 0,0539
(): 0,0350
t: если известны следующие данные: P1=0,26;P2=0,13;α12=0,3;α21=0,15;α23=0,55- вероятность нахождения системы в состоянии происшествия:
(*): 0,0715
(): 0,1430
(): 0,0350
(): 0,6101
t: Если известны следующие данные: P1=0,1;P2=0,5;α12=0,2;α21=0,025;α23=0,775- вероятность нахождения системы в состоянии происшествия
(*): 0,3875
(): 0,7856
(): 0,1645
(): 0,4001
?theme: Источники опасности
?concept: Классификация источников опасности
?diff: лёгкий
t: Опасность исходит от
(*):производства и быта, природных процессов и явлений, человека
():производства и быта, войны, человека
():землетрясения, природных процессов и явлений, человека
():производства и быта, природных процессов и явлений, наводнения
():производства и быта, техники, человека
t: Опасные и вредные производственные факторы подразделяются по природе действия на
(*): физические, химические, биологические, психофизиологические
(): военные, химические, биологические, психофизиологические
(): физические, природные процессы и явления, биологические, психофизиологические
(): природные процессы и явления, химические, военные, психофизиологические
(): физические, химические, биологические, наводнения, человек
?theme: Источники опасности
?concept: Параметры источников опасности
?diff: лёгкий
t: Мощность источника опасности
(): £
(): τ
(*): φ
(): a
(): δ
t: Приведённое расстояние опасного воздействия источника опасности
(): τ
(): £
(): a
(*): ρ
t: Время опасного воздействия источника опасности
(): φ
(*): τ
(): £
(): a
(): ρ
t: Источник опасности характеризуется
(*): <φ, ρ, τ>
(): <φ, £, τ>
(): <δ, ρ, τ>
(): <φ, ρ, £>
(): <δ, ρ, φ>
?theme: Источники опасности
?concept: Оценка безопасности источника опасности
?diff: средний
t: Оценка безопасности источника опасности рассчитывается по формуле
[*]: 
[*]: 
[]: 
[]: 
t: При следующих данных:
мощность(факт)=15; мощность(доп)=16; расстояние(факт)=20; расстояние(доп)=15; время(факт)=5; время(доп)=7- показатель безопасности источника опасности
(*): 0,227
(): -0,005
(): 0,005
(): 0
t: При следующих данных: мощность(факт)=5; мощность(доп)=16; расстояние(факт)=20; расстояние(доп)=10; время(факт)=2; время(доп)=7 показатель безопасности источника опасности
(*): 0,801
(): -0,114
(): 0,114
(): 0
t: При следующих данных:
мощность(факт)=25; мощность(доп)=16; расстояние(факт)=20; расстояние(доп)=10; время(факт)=2; время(доп)=7-показатель безопасности источника опасности
(): 0,571
(): 0,283
(): -0,283
(*): 0
t: При следующих данных:
мощность(факт)=25; мощность(доп)=16; расстояние(факт)=20; расстояние(доп)=10; время(факт)=2; время(доп)=1- показатель безопасности источника опасности
(): 0,333
(): 0,854
(): -0,854
(*): 0
t: Параметр, характеризующий необходимое условие для происшествия
(): τ
(*): φ
(): a
(): δ
t: Параметры, характеризующие достаточные условия для происшествия
[]: £
[*]: τ
[]: φ
[]: a
[*]: ρ
?theme: Источники опасности
?concept: Состояния системы
?diff: средний
t: Необходимым условием для травмы или гибели (состояние происшествия)
(): Сп = φi < φid
(*): Сп = φi ≥ φid
(): Сп = φi = φid
(): Сп = φi ≠ φid
t: Состоянием опасной ситуации является
φi > φid,
(*): Сосi = ρi > ρid,
τi < τid
φi > φid,
(): Сосi = ρi < ρid,
τi < τid
φi > φid,
(): Сосi = ρi > ρid,
τi > τid
t: Безопасное состояние источника опасности
(*): Сбi = (φi < φid, ρi > ρid, τi < τid)
(): Сбi = (φi > φid, ρi > ρid, τi < τid)
(): Сбi = (φi > φid, ρi < ρid, τi < τid)
(): Сбi = (φi > φid, ρi > ρid, τi > τid)
(): Сбi = (φi > φid, ρi < ρid, τi < τid)
?theme: Источники опасности
?concept: Измерение параметров источника опасности
?diff: лёгкий
t: Ручной способ измерения параметра источника опасности
(*): использование психрометра
(): использование устройства защитного отключения
(): использование системы автоматического пожаротушения
(): использование предохранительных клапанов
t: Ручной способ измерения параметра источника опасности
(*): использование анемометра
(): использование звуковой сигнализации
(): использование системы зануления
(): использование предохранительных клапанов
t: Ручной способ измерения параметра источника опасности
(*): использование микроманометра
(): использование устройства защитного отключения
(): использование системы автоматического пожаротушения
(): использование световой сигнализации
t: Полуавтоматический способ измерения параметра источника опасности
(): использование психрометра
(*): использование вывода информации на пульт управления оператора
(): использование системы автоматического пожаротушения
(): использование предохранительных клапанов
t: Полуавтоматический способ измерения параметра источника опасности
(): использование анемометра
(*): использование звуковой и световой сигнализации
(): использование системы зануления
(): использование предохранительных клапанов
t: Полуавтоматический способ измерения параметра источника опасности
(): использование микроманометра
(): использование устройства защитного отключения
(): использование системы автоматического пожаротушения
(*): использование световой и звуковой сигнализации
t: Автоматический способ измерения параметра источника опасности
(): использование психрометра
(): использование вывода информации на пульт управления оператора
(): использование компенсационного метода измерения сопротивления
(*): использование предохранительных клапанов*
t: Автоматический способ измерения параметра источника опасности
(): использование анемометра
(): использование звуковой сигнализации
(*): использование системы зануления
(): использование люксметра
t: Автоматический способ измерения параметра источника опасности
(): использование микроманометра
(): использование вольтметра
(*): использование системы автоматического пожаротушения
(): использование световой сигнализации
?theme: Безопасность человека
?concept: Системы восприятия человеком окружающей среды
?diff: легкий
t:Органы чувств
(): зрение, вкус, скелет, обоняние, слух
(*): зрение, вкус, осязание, обоняние, слух
(): зрение, нервная система, осязание, обоняние, слух
(): пальцы рук, вкус, осязание, обоняние, слух
(): зрение, вкус, осязание, обоняние, рот
t:Органы чувств
(): нервная система, скелет, обоняние, слух
(*): зрение, вкус, осязание, обоняние, слух
(): мышцы, кожа, осязание, обоняние, нервные окончания
(): пальцы рук, вкус, осязание, дыхательная система, слух
(): зрение, дыхательная система, осязание, обоняние, рот
t: Человек получает наибольший объём информации с помощью
(*): зрения
(): вкуса
(): осязания
(): слуха
(): обоняния
t: Человек получает наибольший объём информации с помощью
(*): зрения
(): нервных окончаний
(): осязания
(): мышц
(): обоняния
t: Естественные системы защиты человека
(): руки, чихание, боль, ноги
(*): веки, чихание, боль, слезотечение
(): веки, руки, боль, ноги
(): голова, ноги, боль, слезотечение
(): веки, уши, боль, ноги, руки
t: Органы дыхания
(): ротовая полость, пищевод, желудок, кишечник, выводящая система.
(): нижние конечности, таз, позвоночник, грудная клетка, верхние конечности, череп.
(): сердце, артерии, капилляры, вены, селезенка.
(*): гортань, трахея, бронхи, легкие.
(): головной мозг, спинной мозг, нервные волокна, нейроны, нервные клетки
t: Органы кровообращения
(): ротовая полость, пищевод, желудок, кишечник, выводящая система.
(): нижние конечности, таз, позвоночник, грудная клетка, верхние конечности, череп.
(*): сердце, артерии, капилляры, вены, селезенка.
(): гортань, трахея, бронхи, легкие.
(): головной мозг, спинной мозг, нервные волокна, нейроны, нервные клетки
t: Костномышечный аппарат
(): ротовая полость, пищевод, желудок, кишечник, выводящая система.
(*): нижние конечности, таз, позвоночник, грудная клетка, верхние конечности, череп.
(): сердце, артерии, капилляры, вены, селезенка.
(): гортань, трахея, бронхи, легкие.
(): головной мозг, спинной мозг, нервные волокна, нейроны, нервные клетки
t: Органы пищеварения
(*): ротовая полость, пищевод, желудок, кишечник, выводящая система.
(): Нижние конечности, таз, позвоночник, грудная клетка, верхние конечности, череп.
(): сердце, артерии, капилляры, вены, селезенка.
(): гортань, трахея, бронхи, легкие.
(): головной мозг, спинной мозг, нервные волокна, нейроны, нервные клетки
t: Нервная система
(): ротовая полость, пищевод, желудок, кишечник, выводящая система.
(): нижние конечности, таз, позвоночник, грудная клетка, верхние конечности, череп.
(): сердце, артерии, капилляры, вены, селезенка.
(): гортань, трахея, бронхи, легкие.
(*): головной мозг, спинной мозг, нервные волокна, нейроны, нервные клетки
?theme: Безопасность человека
?concept: «Собственные свойства» человека
?diff: легкий
t: «Собственные свойства» человека, определяющие «безошибочность» работы
(*): Обученность практическим навыкам правильной и безопасной работы
(): Прочность скелета
(): Электрическое сопротивление кожи человека
(): Невосприимчивость к химическим веществам
t: «Собственные свойства» человека, определяющие «безошибочность» работы
(*): Дисциплинированность
(): Невосприимчивость к холоду
(): Невосприимчивость к изменению атмосферного давления
(): Устойчивость к радиации
t: «Собственные свойства» человека, определяющие «безошибочность» работы:
(*): Выносливость
(): Невосприимчивость к электромагнитным полям
(): Электрическое сопротивление кожи человека
(): Устойчивость к радиации
t: «Собственные свойства» человека относительно природы
(): дисциплинированность, умение плавать, устойчивость к солнечной радиации,
(): физическое здоровье, умение плавать, устойчивость к солнечной радиации, устойчивость к аллергенам.
(*): обученность правилам поведения в природных условиях, умение плавать, устойчивость к солнечной радиации, устойчивость к аллергенам.
(): обученность правилам поведения в природных условиях, умение думать, устойчивость к солнечной радиации, устойчивость к боли.
t: «Собственные свойства» человека относительно природы
(): умение читать, умение плавать, хорошая память,
(): физическое здоровье, умение плавать, высокая работоспособность, устойчивость к аллергенам.
(): обученность правилам поведения в лесу, умение думать, устойчивость к солнечной радиации, устойчивость к боли.
(*): обученность правилам поведения, умение плавать, устойчивость к солнечной радиации, устойчивость к аллергенам
?theme: Безопасность человека
?concept: Состояния безопасности человека
?diff: средний
t: Безопасного состояния человека
(): CЧ = [Bч + ΔBT{SЧT} + BL + ΔBE{SЧE} + ΔBL(E) + ΔBE(T)]
(): CЧ = [BT BE + ΔBT{SЧT} + + ΔBE{SЧE} + ΔBT(E) + ΔBE(T)]
(): CЧ = [BT + + ΔBT(E) + ΔBE(T)]
(*): CЧ = [BT + ΔBT{SЧT} + BE + ΔBE{SЧE} + ΔBT(E) + ΔBE(T)]
(): CЧ = [BT + ΔBT{SЧT} + BE]
t: Изменения показателя безопасности среды от «собственных» свойств человека
(*): ΔBE{SЧE}
(): ΔBT{SЧT}
(): ΔBД{SЧT}
(): ΔBE(T)
(): ΔBL(E)
t: Изменения показателя безопасности техники от влияния среды
(): ΔBE{SЧE}
(*): ΔBT (E)
(): ΔBT{SЧT}
(): ΔBE(T)
(): ΔBL(E)
t: Изменения показателя безопасности среды от влияния техники
(): ΔBE{SЧE}
(): ΔBT (E)
(): ΔBT{SЧT}
(*): ΔBE(T)
(): ΔBL(E)
t: Известно: коэффициенты влияния природных факторов на техносферу равны: 0,3; 0,4; 0,1, отклонение соответствующих факторов от норм равны: 0,0; 0,3; 0,9 в этом случае изменение показателя безопасности техносферы
(*): 0,21
(): 0,25
(): 0,23
(): 0,46
t: Известно: коэффициенты влияния природных факторов на техносферу равны: 0,1; 0,3; 0,5, отклонение соответствующих факторов от норм равны: 0,4; 0,8; 0,8, в этом случае изменение показателя безопасности техносферы
(*): 0,68
(): 0,34
(): 0,32
(): 0,85
t: Известно: коэффициенты влияния природных факторов на техносферу равны: 0,4; 0,7; 0,1, отклонение соответствующих факторов от норм равны: 0,4; 0,9; 0,6 в этом случае изменение показателя безопасности техносферы
(*): 0,85
(): 0,59
(): 0,82
(): 0,41
t: Известно: коэффициенты влияния человеческих факторов на техносферу равны: 0,4; 0,5; 0,2, отклонение соответствующих факторов от норм равны: 0,35; 0,29; 0,51 в этом случае изменение показателя безопасности техносферы
(*): 0,387
(): 0,590
(): 0,489
(): 0,254
t:Известно: коэффициенты влияния человеческих факторов на техносферу равны: 0,6; 0,5; 0,6, отклонение соответствующих факторов от норм равны: 0,76; 0,80; 0,38 в этом случае изменение показателя безопасности техносферы
(*): 1,084
(): 0,68
(): 0,55
(): 0
t: Известно: коэффициенты влияния человеческих факторов на техносферу равны: 0,6; 0,5; 0,9, отклонение соответствующих факторов от норм равны: 0,1; 0,4; 0,6 в этом случае изменение показателя безопасности техносферы
(*): 0,8
(): 0,9
(): 0,75
(): 0,2
?theme: Развитие опасности
?concept: Законы распределения параметров источников опасности
?diff: простой
t: Значение параметра источника опасности, как функция, зависящая только от случайного фактора, меняется по закону распределения
(*): нормальному
(): экспоненциальному
(): логистическому
(): биномиальному
t:Значение параметра источника опасности как функция, зависящая только от случайного фактора, меняется по закону распределения
(*): нормальному
(): гипергеометрическому
(): Пуассона
(): экспоненциальному
t: Значение параметра источника опасности как функция, зависящая только от случайного фактора, меняется по закону распределения
(*): нормальный
(): экспоненциальный
(): биномиальный
(): Пуассона
?theme: Развитие опасности
?concept: Модель развития опасности
?diff: сложный
t: Плотность распределения вероятностей случайной величины изменения величины параметра опасного или вредного фактора
(): 
(*): 
(): 
(): 
(): 
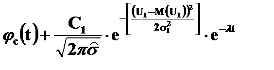
t: Плотность распределения вероятности времени наступления случайного события
(): 
(): 
(): 
(*): 
(): 
t: Функция закономерного изменения параметров источников опасности во времени (старение, износ, разрегулировки)
(): 
(): 
(*): 
(): 
(): 
t: Модель развития опасности
(): 
(): 
(): 
(*): 
?theme: Безопасность рабочего места
?concept: Показатель безопасности рабочего места
?diff: сложный
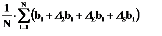
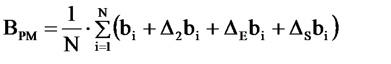
t: Полный показатель безопасности i-го источника опасности
(): bin = bi(t) + Δ3bi + ΔEbi + ΔSbi,
(): bin = bi(t) + Δ2bi + ΔE(t)i + ΔSbi,
(*): bin = bi(t) + Δ2bi + ΔEbi + ΔSbi,
(): bin = bi(s) + Δ2bi + Δsbi + ΔSbi,
t: Полный показатель безопасности i-го источника опасности
(): [Bч + ΔBT{SЧT} + BL + ΔBE{SЧE} + ΔBL(E) + ΔBE(T)]
(): bin = bi(t) + Δ2bi + ΔE(t)i + ΔSbi,
(*): bin = bi(t) + Δ2bi + ΔEbi + ΔSbi,
(): bin = 
t: Модель влияния других источников опасности
():
():
(*):
t:Известно: коэффициенты влияния источников опасности техносферы на контролируемый источник равны: 0,2; 0,5; 0,8, отклонение соответствующих источников от норм равны: 0,3; 0,2; 0,9 в этом случае изменение показателя безопасности техносферы
(*): 0,88
(): 0,44
(): 0,22
(): 0,11
t:Известно: коэффициенты влияния источников опасности техносферы на контролируемый источник равны: 1; 0; 0,7, отклонение соответствующих источников от норм равны: 0,7; 0,4; 0,5 в этом случае изменение показателя безопасности техносферы
(*): 1,05
(): 1,15
(): 0,8
(): 0,5
t: Известно: коэффициенты влияния источников опасности техносферы на контролируемый источник равны: 0,7; 0,8; 1, отклонение соответствующих источников от норм равны: 0,7; 0,9; 0,6 в этом случае изменение показателя безопасности техносферы
(*): 1,81
(): 0,9
(): 0,5
(): 0,8
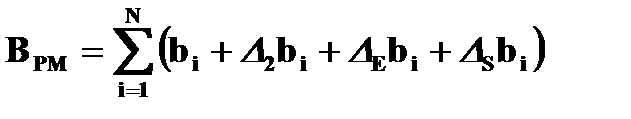
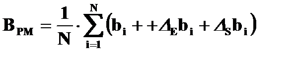
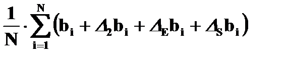
t: Показатель безопасности рабочего места
():
, если все
<0,
0, если хотя бы один
≤0.
(*):
, если все
>0,
0, если хотя бы один
≤0.
():
, если все
<0,
0, если хотя бы один
≠0.
?theme: Безопасность рабочего места
?concept: Вычисление показателя безопасности рабочего места
?diff: простой
t: Известны следующие значения показателей безопасности источников опасности: 0,2; 0,5; 0,1; 0,6 в этом случае показатель безопасности рабочего места
(*): 0.35
(): 0,8
(): 0,4
(): 0
t: Известны следующие значения показателей безопасности источников опасности: 0,5; 0,2; 0,1; 0 в этом случае показатель безопасности рабочего места
(*): 0
(): 0,23
(): 0,2
(): 0,6
t: Известны следующие значения показателей безопасности источников опасности: 0,8; 0,9; 0,6; 0,1 в этом случае показатель безопасности рабочего места
(*): 0,6
(): 1,2
(): 0,5
(): 0
?theme: Безопасность рабочего места
?concept: Модель безопасности рабочего места
?diff: сложный
t: Модель безопасности рабочего места
(): 
(): 
(): 
(*): 
t: Модель безопасности рабочего места
(*): 
(): 
():
(): 
?theme: Безопасность рабочего места
?concept: Методика оценки безопасности рабочего места
?diff: средний
t: Последовательность шагов при оценке безопасности рабочего места:
(*): - выделение рабочего места в совокупности помещений, открытых площадок или технологического процесса;
- определение перечня источников опасности;
- определение действующих значений параметров каждого источника опасности;
- выбор из справочников допустимых значений параметров источников опасности;
- вычисляется bin;
- вычисляется показатель безопасности рабочего места ВРМ.
(): - определение перечня источников опасности;
- определение действующих значений параметров каждого источника опасности;
- выбор из справочников допустимых значений параметров источников опасности;
- вычисляется bin;
- определяется показатель безопасности рабочего места ВРМ.
(): определение перечня источников опасности;
- Определение действующих значений параметров каждого источника опасности;
- выбор из справочников допустимых значений параметров источников опасности;
- вычисляется bin;
- определяется показатель безопасности рабочего места ВРМ.
(): -выделение рабочего места в совокупности помещений, открытых площадок или технологического процесса;
- определение перечня источников опасности;
- выбор из справочников допустимых значений параметров источников опасности;
- вычисляется bin;
- определяется показатель безопасности рабочего места ВРМ.
?theme: Безопасность технологического процесса
?concept: Графические модели технологических процессов
?diff: легкий
t: Конвейерная технология производства
(*):

():

():
t: Стапельная технология производства
():

(*):

():
?theme: Безопасность технологического процесса
?concept: Показатель безопасности технологического процесса
?diff: сложный
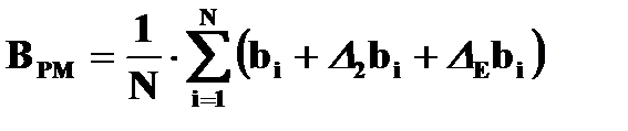
t: Модель безопасности технологического процесса
(*): 
(): 
(): Bч + ΔBT{SЧT} + BL + ΔBE{SЧE} + ΔBL(E) + ΔBE(T)]
(): 
t:Безопасное состояние человека участвующего в технологическом процессе
():
(*):
():
(): CL = F1 [{SL}, CLT, CLE, CLJ, CLY],
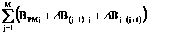
t: Изменение показателя безопасности при перемещении это:
[*]:
[]: 
[*]:
[]: 
[]:
?theme: Безопасность технологического процесса
?concept: Методика оценки безопасности технологического процесса
?diff: легкий
t: Дополнительный параметр, учитываемый в методике оценки показателей безопасности технологического процесса
(*): изменение показателя безопасности при перемещении между рабочими метами
(): численность рабочих мест
(): изменение численности рабочих мест
(): изменение вида рабочих мест
t: Дополнительный параметр, учитываемый в методике оценки показателей безопасности технологического процесса
(*): изменение показателя безопасности при перемещении между рабочими метами
(): численность обслуживающего персонала.
(): фактор опасного производства
(): изменение технологического процесса
t: Дополнительный параметр, учитываемый в методике оценки показателей безопасности технологического процесса
(*): изменение показателя безопасности при перемещении между рабочими метами
(): изменение структуры рабочих мест
(): численность рабочих мест
(): изменение численности обслуживающего персонала.
?theme: Защита человека от опасных и вредных факторов
?concept: Системы защиты(Z) человека от опасных и вредных факторов
?diff: легкий
t: Защита от опасных и вредных факторов это:
(): средства и мероприятия, снижающие опасные и вредные параметры до нуля
(*): средства и мероприятия, снижающие значения параметров до допустимых значений.
(): средства и мероприятия, полностью исключающие воздействие параметров
(): средства, защищающие людей от воздействия параметров
(): средства, повышающие производительность труда
t: Системная защита от опасных и вредных факторов это
(*):

():

():

():
?theme: Защита человека от опасных и вредных факторов
?concept: Изменение характеристик защиты
?diff: сложный
t: Изменение характеристик защиты это
():
():
(*):
():
t:Изменение характеристик защиты удовлетворяет требованиям
():
< 
():
≠ 
(*):
>
():
> 
?theme: Защита человека от опасных и вредных факторов
?concept: Методы защиты человека:
?diff: легкий
t: Защита от мощности источника опасности
(): ZTjr, ZTjt, ZTrt, ZEjr, ZEjt, ZErt.
(): ZTr, ZEr.
(*): ZTj, ZEj.
(): ZC
t: Защита по безопасному расстоянию от источника опасности
(*): ZTr, ZEr
(): ZTt, ZEt.
(): ZTjr, ZTjt, ZTrt ZEjr, ZEjt, ZErt.
(): ZTbi, ZEbi
t: Защита по безопасному времени действия источника опасности
(): ZTj, ZEj.
(): ZTr, ZEr
(*): ZTt, ZEt.
(): ZTjr, ZTjt, ZTrt, ZEjr, ZEjt, ZErt.
t: Комбинированная защита от нескольких параметров источника опасности
(): ZTj, ZEj.
(): ZTt, ZEt.
(*): ZTjr, ZTjt, ZTrt, ZEjr, ZEjt, ZErt.
(): ZTbi, ZEbi
t: Комплексная защита
(): ZTj, ZEj.
(): ZTjr, ZTjt, ZTrt, ZEjr, ZEjt, ZErt.
(): Z Tbi, ZEbi
(*): ZC.
?theme: Защита человека от опасных и вредных факторов
?concept: Реализация средств защиты человека
?diff: средний
t: Средства защиты реализуются как:
(*): организационные, организационно-технические, технические
(): организационные, технические
(): автоматизированные, автоматические, организационные
(): организационно-технические мероприятия автоматизированные, ручные средства защиты
(): организационно-технические, технические
t: Организационные средства защиты это:
(): снабжение индивидуальными средствами защиты
(*): защита от собственных свойств человека:
(): инструктажи по мерам безопасности
(): обучение правилам работы
t: Контроль технического состояния это
(): организационные меры защиты
(*): организационно-технические меры защиты
(): технические меры защиты
(): комбинированные меры защиты






