При реальных физических движениях тел в газовой или жидкостной среде трение накладывает огромный отпечаток на характер движения. Каждый понимает, что предмет, сброшенный с большой высоты (например, парашютист, прыгнувший с самолета), вовсе не движется равноускоренно, так как по мере набора скорости возрастает сила сопротивления среды. Даже эту. относительно несложную, задачу нельзя решить средствами «школьной» физики; таких задач, представляющих практический интерес, очень много. Прежде чем приступать к обсуждению соответствующих моделей, вспомним, что известно о силе сопротивления.
Закономерности, обсуждаемые ниже, носят эмпирический характер и отнюдь не имеют столь строгой и четкой формулировки, как второй закон Ньютона. О силе сопротивления среды движущемуся телу известно, что она, вообще говоря, растет с ростом скорости (хотя это утверждение не является абсолютным). При относительно малых скоростях величина силы сопротивления пропорциональна скорости и имеет место соотношение Fcoпp = k1v, где k1 определяется свойствами среды и формой тела. Например, для шарика k1 = 6 πμr - это формула Стокса, где μ -динамическая вязкость среды, r - радиус шарика. Так, для воздуха при t = 20°С и давлении 1 атм .μ = 0,0182 Н∙с∙м-2, для воды 1,002 Н∙с∙м-2, для глицерина 1480 Н∙с∙м-2.
Оценим, при какой скорости для падающего вертикально шара сила сопротивления сравняется с силой тяжести (и движение станет равномерным).
Имеем

или

Пусть r = 0,1 м, ρ = 0,8∙103 кг/м3 (дерево). При падении в воздухе v* ≈ 960 м/с, в воде v *≈ 17 м/с, в глицерине v* ≈ 0,012 м/с.
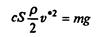
На самом деле первые два результата совершенно не соответствуют действительности. Дело в том, что уже при гораздо меньших скоростях сила сопротивления становится пропорциональной квадрату скорости: Fcoпp = k2v2. Разумеется, линейная по скорости часть силы сопротивления формально также сохранится, но если k2v2 >> k1v, то вкладом k1v можно пренебречь (это конкретный пример ранжирования факторов). О величине k2 известно следующее: она пропорциональна площади сечения тела S, поперечного по отношению к потоку, и плотности среды ρ среды и зависит от формы тела. Обычно представляют k2 = 0,5 сSρ срeды, где с - коэффициент лобового сопротивления - безразмерен. Некоторые значения с (для не очень больших скоростей) приведены на рис. 7.6.
При достижении достаточно большой скорости, когда образующиеся за обтекаемым телом вихри газа или жидкости начинают интенсивно отрываться от тела, значение с в несколько раз уменьшается; для шара оно становится приблизительно равным 0,1. Подробности можно найти в специальной литературе.
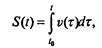
Вернемся к указанной выше оценке, исходя из квадратичнойзависимости силысопротивления от скорости.
Имеем

или
(7.4)

Рис. 7.6. Значения коэффициента лобового сопротивления для некоторых тел, поперечное сечение которых имеет указанную на рисунке форму (см. книгу П.А.Стрелкова)
Для шарика
(7.5)
Примем r = 0,1 м, ρ = 0,8∙103 кг/м3 (дерево). Тогда для движения в воздухе (ρ возд= 1,29 кг/м3) получаем v* ≈ 18 м/с, в воде (ρ воды ≈ 1∙103 кг/м3) v* ≈ 0,65 м/с, в глицерине (ρ глицерина = 1,26∙103 кг/м3) v * ≈ 0,58 м/с.
Сравнивая с приведенными выше оценками линейной части силы сопротивления, видим, что для движения в воздухе и в воде ее квадратичная часть сделает движение равномерным задолго до того, как это могла бы сделать линейная часть, а для очень вязкого глицерина справедливо обратное утверждение. Рассмотрим свободное падение с учетом сопротивления среды. Математическая модель движения - уравнение второго закона Ньютона с учетом двух сил, действующих на тело; силы тяжести и силы сопротивления среды:
(7.6)
Движение является одномерным; проецируя векторное уравнение на ось, направленную вертикально вниз, получаем
(7.7)
Вопрос, который мы будем обсуждать на первом этапе, таков: каков характер изменения скорости со временем, если все параметры, входящие в уравнение (7.7), заданы? При такой постановке модель носит сугубо дескриптивный характер. Из соображений здравого смысла ясно, что при наличии сопротивления, растущего со скоростью, в какой-то момент сила сопротивления сравняется с силой тяжести, после чего скорость больше возрастать не будет. Начиная с этого момента, dv/dt = 0, и соответствующую установившуюся скорость
можно найти из условия mg – k1v – k2v2 = 0, решая не дифференциальное, а квадратное уравнение. Имеем
(7.8)
(второй - отрицательный - корень, естественно, отбрасываем). Итак, характер движения качественно таков: скорость при падении возрастает от v0 до
; как и по какому закону - это можно узнать, лишь решив дифференциальное уравнение (7.7).
Однако, даже в столь простой задаче мы пришли к дифференциальному уравнению, которое не относится ни к одному из стандартных типов, выделяемых в учебниках по дифференциальным уравнениям, допускающих очевидным образом аналитическое решение. II хотя это не доказывает невозможность его аналитического решения путем хитроумных подстановок, но они не очевидны (один из лучших помощников в их поиске - справочник Камке). Допустим, однако, что нам удастся найти такое решение, выраженное через суперпозицию нескольких алгебраических и трансцендентных функций - а как найти закон изменения во времени перемещения? - Формальный ответ прост:
(7.9)
но шансы на реализацию этой квадратуры уже совсем невелики. Дело в том, что класс привычных нам элементарных функций очень узок, и совершенно стандартна ситуация, когда интеграл от суперпозиции элементарных функций не может быть выражен через элементарные функции в принципе. Математики давно расширили множество функций, с которыми можно работать почти так же просто, как с элементарными (т.е. находить значения, различные асимптотики, строить графики, дифференцировать, интегрировать). Тем, кто знаком с функциями Бесселя, Лежандра, интегральными функциями и еще двумя десятками других, так называемых, специальных функций, легче находить аналитические решения задач моделирования, опирающихся на аппарат дифференциальных уравнений. Однако даже получение результата в виде формулы не снимает проблемы представления его в виде, максимально доступном для понимания, чувственного восприятия, ибо мало кто может, имея формулу, в которой сопряжены логарифмы, степени, корни, синусы и тем более специальные функции, детально представить себе описываемый ею процесс -а именно это есть цель моделирования.
В достижении этой цели компьютер - незаменимый помощник. Независимо от того, какой будет процедура получения решения - аналитической или численной, -задумаемся об удобных способах представления результатов. Разумеется, колонки чисел, которых проще всего добиться от компьютера (что при табулировании формулы, найденной аналитически, что в результате численного решения дифференциального уравнения), необходимы; следует лишь решить, в какой форме и размерах они удобны для восприятия. Слишком много чисел в колонке быть не должно, их трудно будет воспринимать, поэтому шаг, с которым заполняется таблица, вообще говоря, гораздо больше шага, с которым решается дифференциальное уравнение в случае численного интегрирования, т.е. далеко не все значения v и S, найденные компьютером, следует записывать в результирующую таблицу (табл. 7.2).
Таблица 7.2