Так как наибольшую прибыль приносят, как правило, рыночные операции с повышенным риском, то его нужно рассчитывать до максимально допустимого предела, корректируя систему действий с позиций наибольшей прибыли при наименьших рисках.
При рыночной экономике производители, продавцы, покупатели, действуя в условиях конкуренции самостоятельно, то есть на свой страх и риск, должны действовать так, чтобы при самом худшем раскладе речь могла идти только о некотором уменьшении прибыли, но ни в коем случае не стоял вопрос о банкротстве. Финансовое будущее предпринимателей в этих условиях является непредсказуемым и мало прогнозируемым. Однако, риском можно управлять, используя разнообразные меры, позволяющие в определенной степени прогнозировать наступление рискового события и вовремя принимать меры к снижению степени риска.
Механизмом для управления риском является риск-менеджмент. Управление риском как система состоит из двух подсистем: управляемой (объект управления) и управляющей (субъекта управления) подсистемы.
|
|
|
Объектом управления в системе управления риском являются риск, рисковые вложения капитала и экономические отношения между хозяйствующими субъектами в процессе реализации риска (отношения между: страхователем и страховщиком; предпринимателями — партнерами, конкурентами; заемщиком и кредитором и т.п.).
В системе управления риском субъектом управления является специальная группа людей (предприниматель, финансовый менеджер, менеджер по риску, специалисты по страхованию и др.), которая посредством различных приемов и способов управления осуществляет целенаправленное воздействие на объект управления.
Управление риском представляет специфическую сферу экономической деятельности, требующую глубинных знаний в области анализа хозяйственной деятельности, методов оптимизации хозяйственных решений, страхового дела, психологии и многого другого. Основная задача предпринимателя в этой сфере — найти вариант действий, обеспечивающий оптимальное для данного проекта сочетание риска и дохода, исходя из того, что, чем прибыльнее проект, тем выше степень риска при реализации.
Процесс управления риском — это систематическая работа по анализу риска, выработки и принятия соответствующих мер для его минимизации. Этот процесс можно разбить на пять этапов: выявление риска, оценка риска, выбор приемов управления риском, реализация выбранных приемов, оценка результатов.
Выявление — состоит в определении того, каким видам риска наиболее подвержен объект анализа, будь то домохозяйство, компания или иной экономический субъект. Для эффективного выявления необходимо рассматривать проблему риска в целом, с учетом всех факторов, влияющих на него. Проанализируем, например, рирк человека, связанный с его операциями на фондовом рынке. Если вы работаете биржевым брокером, то ваши будущие доходы очень сильно зависят от того, насколько хорошо идут дела на фондовом рынке. Доход, приносимый от применения ваших способностей и трудовых навыков (т.е. от человеческого капитала), зависит от активности на фондовом рынке; следовательно, вам не стоит вкладывать в акции остальной капитал (в денежной форме). С другой стороны, — правительственному служащему, который одного с вами возраста и зарабатывает столько же, сколько и вы, — вполне можно посоветовать большую часть его инвестиционного портфеля вложить в акции, потому что его человеческий капитал не так подвержен риску, связанному с фондовым рынком.
|
|
|
Этот же принцип комплексного рассмотрения проблемы риска применим и к фирмам. Рассмотрим, например, неопределенность, связанную с колебаниями валютного курса и влияющую на фирму, которая закупает сырье и продает свою продукцию за рубеж по фиксированным ценам в иностранной валюте. Для менеджеров компании не имеет смысла рассматривать неопределенность, связанную с курсом обмена валют, только на выручку компании или только на ее затраты. Для всех держателей акций компании важен чистый результат влияния этой неопределенности, — доход компании минус ее затраты. Хотя и доход компании, и затраты могут быть одинаково подвержены колебаниям обменного курса, итоговое влияние на компанию неопределенности, связанной с курсом обмена валют, может оказаться равным нулю.
Под оценкой риска понимается количественное определение затрат, связанных с его видами, которые были выявлены на первом этапе управления риском. Этому посвящены пятая и шестая главы.
При этом следует понимать, что помимо математических методов и вычислений необходимы и другие данные. Как, например, оценить вероятность заболеть человеку в определенном возрасте и при его состоянии здоровья? Сколько будет стоить лечение? Чтобы оценить подверженность данного человека этому виду риска, необходима информация.
Естественно, нужны соответствующие сведения, и чтобы их получить, придется заплатить. Предоставление информации такого рода — одна из важнейших функций страховых компаний. Этим занимается актуарий {статистик страхового общества) — профессионал, имеющий специальное образование в области математики и статистики. Он собирает и анализирует данные и оценивает вероятность заболевания, несчастного случая и подобных видов риска.
Что касается риска инвестиций в финансовые активы, то домохозяйствам и компаниям нередко требуется консультация эксперта, которая позволяет уточнить степень их подверженности тому или иному риску и количественно выразить соотношение между риском и доходом от инвестирования в разные категории активов, например в акции или облигации. В таких случаях обычно обращаются к профессиональным консультантам по инвестициям, во взаимные фонды и к другим финансовым посредникам или в другие фирмы, предоставляющие финансовые услуги, которые помогают сделать правильную оценку рисков.
Риск-менеджмент (п. 1.3) можно рассматривать как систему оценки риска, управления риском и финансовыми отношениями, компенсирования возможных ущербов и включает стратегию и тактику управленческих действий. Под стратегией понимаются направления и способы использования средств для достижения поставленной цели. Стратегия позволяет, рассмотрев различные варианты решения, не противоречащие генеральной линии стратегии, применяя определенный набор правил и ограничений, выбрать наилучшее решение. Под тактикой подразумеваются практические методы и приемы менеджмента для достижения установленной цели в конкретных условиях и выбор оптимального решения в данной хозяйственной ситуации.
|
|
|
Стратегия риск-менеджмента — это искусство управления риском в неопределенной хозяйственной ситуации, основанное на прогнозировании риска и приемов его снижения. Эта стратегия включает правила, на основе которых принимаются поисковые решения и способы выбора их вариантов.
Приемы риск-менеджмента представляют собой приемы управления риском. В системе управления риском важная роль принадлежит правильному выбору мер предупреждения и минимизации риска, которые в значительной мере определяют ее эффективность. Они состоят из средств разрешения и приемов снижения степени риска.
Методы управления рисками можно изобразить на следующей схеме (рис. 10.2).
Средствами разрешения рисков являются:
Избежание риска — это сознательное решение не подвергаться определенному виду риска. Человек может решить не подвергать себя риску, связанному с какой-то профессией или работой в какой-то компании, может уклоняться от работы в определенных отраслях производства, потому что они представляются ему чересчур рискованными. Но избежать риска удается не всегда. Например, каждый человек подвергается риску заболеть — просто потому, что он человек, а все люди болеют. Это неизбежно.

Рнс. 10.2. Методы управления рисками
Предотвращение ущерба сводится к действиям, предпринимаемым для уменьшения вероятности потерь и для минимизации их последствий. Такие действия могут предприниматься до того, как ущерб был нанесен, во время нанесения ущерба и после того, как он случился. Например, вы можете уменьшить риск заболевания, если будете хорошо питаться, достаточно спать, не курить и держаться подальше от тех, кто уже заболел гриппом. Если вы все же «подхватили» простуду, можно перейти на постельный режим и тем самым свести к минимуму вероятность того, что ваше недомогание перейдет в воспаление легких.
|
|
|
Принятие риска состоит в покрытии убытков за счет собственных ресурсов. Иногда это происходит само собой, например, когда человек не подозревает о существовании риска или не обращает на него внимания. Бывают случаи, когда люди сознательно решают пойти на риск. В частности, некоторые отказываются от медицинской страховки, предпочитая в случае заболевания пожертвовать на лечение часть заработанных средств. Предупредительные сбережения семьи — одно из средств облегчить расходы в связи с принятием риска.
Перенос риска состоит в перенесении риска на других лиц. Продажа рискованных ценных бумаг кому-то другому и приобретение страхового полиса — примеры такой стратегии управления риском. Другой пример: вы не предпринимаете никаких действий, чтобы избежать риска, и рассчитываете, что нанесенный ущерб будет покрыт за чей-то счет.
Как пример, рассмотрим модель деления риска, представляющую управленческое действие, направленное на сокращение неблагоприятного будущего риска. Наиболее явное выражение этих действий связано с решениями по управлению финансами.
Пусть имеется возможность вложить некую сумму капитала через приобретение акций двух предприятий. У них одинаковые дивиденды — 2 у.е. на у.е. в год, и одинаковый риск возможной неудачи получения нулевых доходов. Как распорядиться своими средствами?
Вариант 1. Вложить средства в первое предприятие.
Средний доход в этом случае равен:.

Вероятность потери средств равняется 0,5.
Вариант 2. Вложить средства во второе предприятие.
Средний доход в этом случае равен:

Вариант 3. Поделить средства между предприятиями.
Средний доход в этому случае равен:
Вероятность потери средств равняется (оба предприятия не будут иметь прибыли): 0,5 • 0,5 = 0,25.
В последнем варианте в два раза уменьшился риск полной потери средств, а средний доход оказывается одинаковым во всех вариантах.
В рассмотренном примере управление средствами фактически не влияло на средний будущий доход, поэтому выбирая распределение средств, можно использовать в качестве оценки минимум риска потери средств.
Математическое описание модели деления риска следующее.
Рассмотрим распределение средств между двумя предприятиями. Каждое из них характеризуется средним доходом и дисперсией отклонения от среднего дохода. Получаемая сумма дохода равняется:
,
а — доля средств, вкладываемых в первое предприятие,
Е1 и Е2 — доход на капитал, вложенный в первое и второе предприятие, соответственно. Величина Е является случайной и для нее вычисляются математическое ожидание е и дисперсия D.
Математическое ожидание вычисляется по формуле:
.
Формула вычисления дисперсии включает три слагаемых:

где D1 и D2 — дисперсия дохода по первому и второму предприятиям, ρ — коэффициент корреляции между доходами рассматриваемых предприятий.
Вариант 1. При е1 = е2 и полной независимости предприятий (р = 0) получим следующее правило деления средств между предприятиями из условия минимума дисперсии:

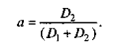
Вариант 2, При е1 = е2 и прямой предпринимательской зависимости между предприятиями (р = 1) получается что итоговая сумма дохода не зависит от значения а, и минимальная дисперсия итогового дохода будет минимальна при

Вариант 3. При е1 = е2 и обратной зависимости предприятий (р = -1) средняя сумма дохода не зависит от значения коэффициента а, а дисперсия будет минимальна при

Комплексная оценка вариантов распределения средства имеет, вид:

где коэффициент r характеризует значимость для владельца средств дохода по отношению к риску. Для владельца значительных средств вложение небольшой суммы осуществляется, как правило, при большом значении коэффициента r. Инвестор готов вкладывать средства в мероприятия с большим возможным доходом, не обращая внимания на возможный риск. Соответственно, инвестор с малыми средствами при вложении всех своих средств будет крайне осторожен и значение коэффициента r приемлет небольшим. В этом случае большое значение имеет прежде всего риск, а не ожидаемый доход.
Вслед за решением о том, как поступать с выявленным риском, следует переходить к реализации выбранных приемов. Главный принцип, которого следует придерживаться на этом этапе управления риском, сводится к минимизации затрат на реализацию избранного курса действий. Другими словами, если вы решили приобрести медицинскую страховку на случай болезни, надо найти страховую компанию, услуги которой обойдутся вам дешевле. Если вы решили вложить деньги в приобретение акций, следует сравнить, чьи услуги вам обойдутся дешевле — компании по управлению взаимным фондом или брокера.
Управление риском — это динамический процесс с обратной связью, при котором принятые решения должны периодически анализироваться и пересматриваться. Время идет, обстоятельства меняются и несут с собой перемены: появляются новые виды риска, или новые сведения об имеющихся видах риска, или дешевеет стратегия управления риском. Например, будучи одиноким человеком, вы решили отказаться от страхования жизни, но обстоятельства изменились, вы женились и завели детей — и это привело к изменению решения. Или вы принимаете решение об изменении доли вашего портфеля инвестиций, вложенной в акции.
Снижение степени риска — это сокращение вероятности объема потерь. Для этого существует немало методов. Большая группа таких методов связана с подбором других операций, таких, чтобы суммарная операция имела меньший риск.
При рассмотрении предыдущих разделов в той или иной мере затронута проблема снижения риска, так как выбор оптимальных (эффективных) решений всегда предполагает получение такого решения, которое обеспечивает минимальный риск.
Теория и практика управления риском выработала ряд основополагающих принципов, которыми следует руководствоваться. Основные из них следующие:
нельзя рисковать больше, чем это может позволить собственный капитал;
необходимо думать о последствиях риска;
нельзя рисковать многим ради малого.
Реализация первого принципа означает, что прежде чем вкладывать капитал, инвестор должен:
определить максимально возможный объем убытка по данному риску;
сопоставить его с объемом вкладываемого капитала;
сопоставить его со всеми собственными финансовыми ресурсами и определить, не приведет ли потеря этого капитала к банкротству инвестора.
Исследования показывают, что оптимальный коэффициент риска составляет 0,3, а коэффициент риска, ведущий к банкротству инвестора 0,7 и более, если под коэффициентом риска понимать величину KR = Y/С, где Y — максимально возможная сумма убытка, у.е.; С — объем собственных финансовых ресурсов с учетом точно известных поступлений средств, у.е.
Реализация второго принципа требует, чтобы предприниматель, зная максимально возможную величину убытка, определил бы, к чему она может привести, какова вероятность риска, и принял бы решение об отказе от риска (т.е. от мероприятия), о принятии риска на свою ответственность или о передаче риска на ответственность другому лицу.
Действие третьего принципа предполагает, что прежде чем принять решение о внедрении мероприятия, содержащего риск, необходимо соизмерить ожидаемый результат (отдачу) с возможными потерями, которые понесет предприниматель в случае наступления рискового события. Действие этого принципа четко проявляется при передаче финансового риска. В этом случае он означает, что инвестор должен определить приемлемое для него соотношение между страховой премией и страховой суммой. Страховая премия, или страховой взнос, — это плата за страховой риск страхователя страховщику. Страховая сумма — это денежная сумма, на которую застрахованы материальные ценности (или гражданская ответственность, жизнь и здоровье страхователя). Риск не должен быть удержан, т.е. инвестор не должен принимать на себя риск, если размер убытка относительно велик по сравнению с экономией на страховых взносах.
В стратегии риск-менеджмента применяется ряд правил, на основании которых осуществляется выбор того или иного приема управления риском и варианта решений. Основными из этих правил являются следующие:
стремление к максимуму выигрыша;
оптимальное сочетание выигрыша и величины риска;
оптимальная вероятность результата.
Стремление к максимуму выигрыша означает, что из возможных вариантов решений, содержащих риск, выбирается тот, который обеспечивает максимальный результат (доход, прибыль и т.д.) при минимальном и приемлемом для предпринимателя риске.
Так как на практике более прибыльные варианты, в основном, являются и более рискованными, то из всех вариантов решений, обеспечивающих приемлемый для предпринимателя риск, выбирается тот, у которого соотношение дохода и потерь (убытка) является наибольшим, что и является сутью правила оптимального сочетания выигрыша и величины риска.
Сущность правила оптимальной вероятности результата заключается в том, что из всех вариантов, обеспечивающих приемлемую для предпринимателя вероятность получения положительного результата, выбирается тот, у которого выигрыш максимальный.
В основе управления риском лежит целенаправленный поиск и организация работы по снижению риска, получение и увеличение отдачи в неопределенной хозяйственной ситуации.
Конечной целью управления риском является получение наибольшей прибыли при оптимальном, приемлемом для предпринимателя соотношении прибыли и риска, что соответствует целевой функции предпринимательства.
Наиболее общими, широко используемыми и эффективными методами предупреждения и снижения риска являются: диверсификация, страхование, лимитирование, резервирование средств, приобретение дополнительной информации о выборе и результатах.
Эти методы широко известны и подробно описаны в литературе, но их обоснование и анализ с математической точки зрения являются недостаточно полными. Поэтому при последующем изложении способов снижения риска будут использоваться математические методы исследования.
Среди четырех приемов управления риском, перечисленных в этом разделе, перенос части или всего риска на других лиц относится к тем его видам, где финансовая система играет наибольшую роль. Самый главный метод переноса риска — это просто продажа активов, которые представляют собой его источник. Например, владелец дома подвержен, как минимум, трем видам риска: пожару, стихийному бедствию и возможному падению цен на недвижимость. Продав дом, его владелец избавляется от всех трех видов риска.
Предположим, однако, что некто не может или не хочет продавать рискованные активы. В такой ситуации также можно управлять этими видами риска, только другими способами. Например, если домовладелец застраховался от пожара и стихийного бедствия, то он принимает на себя только риск падения цен на недвижимость.
Различают три метода переноса риска, называемые тремя схемами его переноса. Это диверсификация, страхование и хеджирование. Каждый из этих способов будет рассмотрен и проиллюстрирован ниже.