Выше мы рассмотрели методы оценки уровня качества продукции одного вида, т.е. однородной. Чаще всего предприятие выпускает продукцию многих видов - разнородную.
Для комплексной оценки уровня качества разнородной продукции применяют индексы качества продукции.
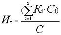
Индексом качества продукции называется комплексный показатель качества разнородной продукции, равный среднему взвешенному значению относительных показателей качества различных видов продукции за рассматриваемый период. Индексы качества используют при составлении планов повышения качества и проверке их выполнения, при сопоставлении качества продукции различных предприятий, при оценке стабильности производства и в других случаях.
Наиболее часто индекс качества вычисляют на основе главного показателя. Обычно это производительность или долговечность изделий. Главный показатель качества может быть комплексным.
Для нескольких s видов продукции индекс качества вычисляется по формуле:
(3.7)
где Ki -относительный показатель качества i-го вида продукции; Ni -количество изделий i-го вида или объём i-й продукции в текущем периоде; Цi - оптовая цена продукции i-го вида, руб.
Если сумма, на которую выпущена продукция i-го вида,

а общая сумма, на которую выпущена продукция всех видов,

то индекс качества
(3.8)
При вычислении индексов качества, соответствующих базисному и отчётному периодам, берут фактические уровни качества для каждого периода, а цена для обоих периодов принимается одной и той же.
Индексы качества могут вычисляться для разных организационных уровней: для цеха, завода, отрасли. Для вышестоящей организации индекс качества
(3.9)
где Cj -сумма, на которую выпущена продукция j-м объектом; Икj - индекс качества j-го объекта; m -число объектов.
Пример 1. Цех выпускает автомобильные шины двух типов. Нужно оценить уровень их качества в текущем интервале времени. Показатель качества - ходимость шин в тыс. км. За базовое значение принимается значение ходимости шин, выпущенных в прошлом году:

Вычисляем индекс качества по формуле (3.7):
Ик =((64/60)*5*50+(60/50)*36*40)/(5*50+36*40)=2000/1700=1,176
Таким образом, уровень качества шин увеличился на 17,6%
Когда оцениваемая продукция имеет сортность, в роли индекса качества можно применить коэффициент сортности, равный отношению фактической стоимости выпущенной продукции в оптовых ценах к её условной стоимости при допущении, что вся она выпущена высшим сортом:
(3.10)
где s - количество видов продукции; n -количество сортов продукции; Цiк - цена продукции i-го вида k-го сорта; Niк - объем выпуска продукции i-го вида k-го сорта; Цi1 - цена продукции i-го вида наивысшего сорта.
Пример 2. Предприятие выпускает продукцию видов А, Б, В. В каждый её вид входит продукция 1 и 2 сортов с соответствующей ценой:

Вычислим коэффициент сортности по формуле (3.10)
Кс = ((600+250)+(250+80)+(270+90)) / (6*(100+50)+5*(50+20)+4,5(60+30))=0,93
Коэффициент сортности можно вычислять для цеха, завода, фирмы, отрасли в целом. Если для m объектов (цехов, заводов, фирм и т.п.) известны коэффициенты сортности Ксj и соответствующие суммы Cj, на которые выпущена продукция, то общий коэффициент сортности вычисляют по формуле:
(3.11)
Видами индексов качества являются коэффициент и индекс дефектности продукции. Они характеризуют качество продукции, находящейся в процессе изготовления, и используются при оценке качества труда в отдельных производственных подразделениях (цех, участок).
Коэффициент дефектности - среднее взвешенное количество дефектов, приходящееся на единицу продукции i-го вида:
(3.12)
где d - число видов дефектов в данной продукции; mj - коэффициент весомости дефектов j-го вида; rj - число дефектов j-го вида; n - >объём выборки продукции.
Коэффициенты весомости mj можно определять экспертным методом или принимать пропорциональными стоимости устранения дефектов.
Относительный показатель дефектности продукции i-го вида
(3.13)
где Дiб - базовое значение коэффициента дефектности, принятое по результатам работы предприятия в прошлом периоде (году, месяце и т.д.).
Если вычислены значения qi для всех s видов продукции, то индекс дефектности разнородной продукции:
(3.14)
где Ci - сумма, на которую выпущено продукции i-го вида за рассматриваемый период.
Пример 3. Для автомобильных шин определенного типа установленны 4 вида дефектов (А, Б, В, Г). Эти дефекты имеют весовые коэффициенты, указанные в табл.3.3. При проверке выборки из 50 шин было обнаружено 7 дефектов.
Таблица 3.3
| Дефект | Коэф-т весомости mi,% | Число дефектов в выборке rj | mi*rj, % |
| A | |||
| Б | |||
| В | |||
| Г | |||
| Всего |
Вччисляем коэффициент дефектности:Д=95/50=1,9%.
Пример 4. Для трех видов продукции в табл.3.4 приведены базовые и фактические значения показателя дефектности, объемы выпуска продукции в условных единицах. Определить индекс дефектности для всей продукции.
Таблица 3.4
| i | Дi | Дiб | Ci | qi | Ci*qi |
| 0,8 | 1,0 | 0,8 | 1,6 | ||
| 6,5 | 1,3 | 3,9 | |||
| 1,8 | 2,0 | 0,9 | 0,9 | ||
| Всего | 6,4 |
Вычисляем индекс дефектности:
ИД=6,4/6=1,07