ОБЫКНОВЕННЫЕ ЛИНЕЙНЫЕ СИСТЕМЫ АВТОМАТИЧЕСКОГО УПРАВЛЕНИЯ
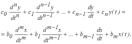
Система автоматического управления называется обыкновенной линейной, если процесс в системе можно описать обыкновенным линейным дифференциальным уравнением порядка " n ". Это уравнение записывается в следующем виде:

где у(t) – выходная (управляемая) величина, х(t) – входное воздействие, ci, bj – постоянные коэффициенты уравнения, n > m.
Реальные САУ и их элементы обычно имеют нелинейные статические характеристики и описываются нелинейными дифференциальными уравнениями. Однако на практике в ряде случаев нелинейностью можно пренебречь и описать САУ или ее элемент линеаризованным (приведённым к линейному виду) дифференциальным уравнением.
Таким образом, обыкновенная линейная система является упрощенной математической моделью для описания реальных систем автоматического управления. Процессы в обыкновенной линейной системе описываются обыкновенными линейными дифференциальными уравнениями любого порядка "n". Все сигналы в такой системе непрерывны и связаны между собой линейными функциональными зависимостями.
|
|
|
Обыкновенное линейное дифференциальное уравнение порядка "n" в теории автоматического управления принято записывать в операторном виде
,
где
- оператор дифференцирования.
Решение дифференциального уравнения y(t) дает описание процесса в системе, возникающего при воздействии на ее вход сигнала x(t). Решение дифференциального уравнения складывается из общего решения и частного решения:
,
где
- общее решение дифференциального уравнения без правой части, описывающее свободный процесс в системе независимо от вида входного воздействия;
- частное решение дифференциального уравнения, зависящее от его правой части и описывающее вынужденный процесс в системе.
Для нахождения общего решения нужно решить уравнение без правой части
.
Общее решение обыкновенного линейного дифференциального уравнения порядка "n" имеет вид
,
где Ai – постоянные интегрирования, определяемые из начальных условий
; pi – корни характеристического уравнения
.
В статическом состоянии системы все сигналы в ней постоянны и, следовательно, все производные этих сигналов равны нулю. Тогда

и дифференциальное уравнение системы вырождается в статическую характеристику
или
,
где K – коэффициент усиления системы.
Теория обыкновенных линейных систем автоматического управления была разработана в первую очередь и является базой для теории автоматического управления.






