Линеаризация дифференциального
В реальных системах автоматического управления практически всегда наблюдаются некоторые нелинейности при преобразовании сигналов. При представлении системы с нелинейностями в виде обыкновенной линейной системы необходимо свести описание процессов в системе к обыкновенному линейному дифференциальному уравнению порядка "n". Процесс получения такого уравнения называется линеаризацией описания системы.
Используются два метода линеаризации описания системы. Первый метод применяется в том случае, когда для системы уже имеется описание процесса в виде нелинейного дифференциального уравнения. Задача состоит в преобразовании этого уравнения к линейному виду. Второй метод применим на стадии получения дифференциального уравнения при описании системы и сводится к пренебрежению нелинейными зависимостями при описании взаимосвязей между сигналами.
Рассмотрим первый метод линеаризации описания системы. Пусть в общем виде некоторая система автоматического управления описывается нелинейным дифференциальным уравнением, которое известно:
|
|
|
.
Процесс в системе начинает рассматриваться с момента приложения ко входу системы внешнего воздействия. Этот момент принимается за нулевой, поэтому время рассмотрения процесса t ³ 0. В общем случае в начальный момент времени все сигналы в системе отличны от нуля и совокупность этих сигналов описывает начальное состояние системы (нулевые условия):
.
Поскольку нас интересует поведение системы при t ³ 0, то исходное состояние системы может быть принято за нулевое и в дальнейшем мы можем учитывать только отклонения сигналов в системе от начальных значений. В этом случае говорят, что уравнение системы записывается в отклонениях.
Линеаризация исходного нелинейного дифференциального уравнения заключается в разложении нелинейной функции
в степенной ряд Тейлора и в отбрасывании членов ряда Тейлора, порождающих нелинейную зависимость. Обозначим
,
,
тогда
.
При линеаризации все члены ряда Тейлора высшего порядка малости отбрасываются и принимается

где
,
.
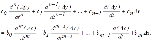
В результате получаем линеаризованное дифференциальное уравнение системы "в отклонениях" (или "в вариациях")

где
- коэффициенты дифференциального уравнения.
При этом исходное дифференциальное уравнение можно переписать в виде

![]() |
Рассмотрим графическую интерпретацию проведенной линеаризации (рис. 27). На рис. 27а кривая B соответствует нелинейной зависимости y(x). Если нелинейную функцию y(x) разложить в ряд Тейлора в точке O(x0,y0) и отбросить нелинейные члены ряда, то кривая B будет заменена касательной C, а зависимость y(x) преобразуется к виду
, где
при
.|
|
|
Если точку O(x0,y0) принять за начало координат, то получим зависимость между приращениями Δy и Δx (рис. 27б)
, где
.
В результате линеаризации исходное нелинейное дифференциальное уравнение

при начальных условиях
можно представить в виде линеаризованного уравнения

Поскольку значения производных, вычисленные при постоянных x0, y0, дают числовые величины, то линеаризованное уравнение можно записать в отклонениях как

где y и x – отклонения этих величин от значений x0 и y0.
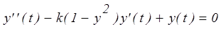
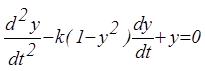
Пример. Рассмотрим нелинейное дифференциальное уравнение второго порядка
, или
.
Выделим нелинейную функцию
.
Пусть начальные условия
, тогда
,
,

После замены нелинейной функции первыми членами ряда Тейлора получим новое приближённое уравнение
.
Поскольку вновь полученное уравнение по-прежнему нелинейно, вторично подвергаем его линеаризации



Окончательный вид линеаризованного уравнения:

В новом уравнении
, оно записано для отклонений. Это уравнение линейно.
Второй метод линеаризации заключается в том, что реальные нелинейные зависимости между сигналами уже при составлении уравнений аппроксимируются линейными зависимостями вида

и уравнение системы изначально составляется в отклонениях:

При рассмотрении обыкновенных линейных систем автоматического управления в дальнейшем рассматриваются линеаризованные дифференциальные уравнения, записанные в отклонениях. При этом везде будет подразумеваться

Пределы, в которых справедлива замена нелинейных дифференциальных уравнений линеаризованными, определяются допустимой величиной отклонения реальных характеристик от линеаризованных и возникающей при анализе погрешности расчета системы. Вопрос о допустимости линеаризации решается в каждом конкретном случае. Существуют случаи, когда линеаризация недопустима из-за существенного искажения реальных процессов.
