Суммирование баллов по базовому и искомому товару
Начисление баллов по каждому параметру
Отбор основных параметров



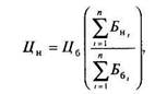
Цена на искомый (новый) товар (Цн) ценовым методом баллов рассчитывается по формуле:
(4.6)
где Цб — цена базового товара; Бнi, — балльная оценка i-го параметра нового товара; Ббi — балльная оценка i-го параметра базового товара (эталона).
Пример 4.8:
Для определенной группы металлургических станков разработаны шкалы балльных оценок основных параметров. Один из видов этих станков принят за базовый. Его цена 10 тыс. долл. США. Осваивается новый станок этой группы. Экспертная оценка основных параметров базового станка — 20 баллов США, нового — 26, или на 30% больше. Тогда цена нового станка составит 30 тыс. долл. США. Применяемый метод обеспечивает рост цен пропорционально повышению качества товаров.
Ценовой метод баллов целесообразно применять при формировании цен на товары, параметры которых разнообразны и не поддаются непосредственному количественному соизмерению (удобство использования, дизайн, цвет, запах, вкус и т.д.).
Недостаток метода — субъективизм при начислении баллов.
Ценовой метод регрессии состоит в определении эмпирических формул (регрессионных уравнений) зависимости цен от величин нескольких основных параметров качества в рамках параметрического ряда товаров. При этом цена (Ц) выступает как функция параметров:
Ц = f (х1, х2, х3,...,хп), (4.7)
где х1, х2, х3..... хn — основные параметры качества товаров.
Этот метод позволяет моделировать изменение цен в зависимости от совокупности их параметров, строго определять аналитическую форму связи, а также использовать уравнения регрессии для определения цен товаров, входящих в данный параметрический ряд.
В результате формируется взаимосвязанная система цен на товары.
Например, результаты расчетов регрессионной зависимости цен от отобранных показателей качества по бумаге для печати могут быть представлены в виде уравнения регрессии:
Ц = -56,5 + 0,38х1, + 0,67 х 2,
где х1, — плотность 1 м 2; х2 — белизна, %.
Эта формула применима для всего ценового ряда бумаги данного вида.
Пример 4.9:
Появилось новое изделие (бумага), имеющее плотность 110 г на 1 м2 и белизну 80%. Цена такого изделия рассчитывается путем подстановки показателей его плотности на 1 м2 и белизны в формулу регрессионной зависимости действующих цен от параметров качества изделий всего параметрического ряда:
Цн = -56,5 + 0,38 * 110 + 0,67 * 80 = 38 900 руб.
Ценовой метод с учетом потребительского эффекта. Если продукция является взаимозаменяемой, т.е. удовлетворяет одинаковые потребности, но различается по физико-химическому составу, в параметрический ряд ее выстроить нельзя. Вместе с тем, поскольку эта продукция удовлетворяет одинаковые потребности, цены на нее не могут строиться изолированно. Взаимосвязь цен на новое и ранее выпускавшееся изделие обеспечивается посредством показателя потребительского эффекта, т.е. эффекта, который потребитель может получить при использовании нового изделия (материала) вместо прежнего.
Цену согласно этому методу можно рассчитать по формуле:
Цн = Ц6 + Эл - КТ (4.8)
где Цн — цена нового изделия; Ц6 — цена базового, ранее применявшегося изделия; Эл — эффект у потребителя от замены прежнего изделия новым; КТ — коэффициент торможения, или морального старения, изделия; чем выше темпы научно-технического прогресса, тем меньше величина коэффициента для понижения значения эффекта.
Расчетные методы в условиях административно регулируемой экономики являлись практически единственными, поскольку при таких условиях отсутствовала объективная необходимость в учете конъюнктуры рынка.
В условиях рыночной экономики цена, рассчитанная продавцом, — это лишь база формирования цены фактической сделки. Расчетная цена может совпадать с ценой фактической сделки и даже быть выше, если продавец является монополистом и проводит политику полной реализации своего исключительного положения на рынке. Если же продавец придерживается умеренной ценовой политики, то не только цена фактической сделки, но и цена предложения может быть ниже расчетной цены.
Когда продавец работает в условиях конкурентного рынка, расхождение между расчетной ценой и ценой фактической реализации значительно.
Как уже было показано, в условиях рынка в самих расчетных методах в определенной мере учтены требования рыночной конъюнктуры. Примером служат проанализированные выше преимущества метода стандартных (нормативных) издержек по сравнению с методом полных затрат.
В условиях рынка возрастает роль методов стимулирования сбыта товаров. Суть ценовых методов стимулирования сбыта товаров состоит в том, что они базируются, главным образом, на учете конъюнктуры рынка. К ним относятся: методы максимизации продаж с учетом эластичности спроса, методы максимизации продаж с использованием ценовых скидок и методы «психологического ценообразования».
Методы максимизации продаж с учетом эластичности спроса основаны на том, что при эластичном спросе в качестве рычага стимулирования сбыта используется снижение цены, при неэластичном спросе — повышение.
Эластичный спрос характерен для конкурентного рынка и для таких категорий товаров, как продукты питания не первой необходимости, товары длительного пользования, подверженные быстрому моральному старению, рост цены на которые может вызвать более значительное снижение спроса из-за наличия возможности выбора. Отечественная практика дает тому яркие примеры: по мере роста цен на дорогостоящие колбасные изделия, сыр, фрукты население резко сокращает их потребление и начинает интенсивнее покупать простые молочные продукты и хлеб, цены на которые в ряде областей регулируются государством.
Вместе с тем эластичный спрос может наблюдаться, когда при относительно незначительном снижении цены спрос возрастает в заметно большей степени. Это касается хорошо сохраняющихся продуктов питания первой необходимости (сахар, соль, крупы), товаров длительного пользования, не подверженных моральному старению (ювелирные изделия, недвижимость).
Неэластичный спрос наблюдается, если рост цен на данный товар не вызывает существенного сокращения объема покупок. Соль, сахар, крупы при росте цен служат примером неэластичного спроса. Кроме того, к числу продуктов неэластичного спроса относятся все слабозаменяемые или вообще незаменяемые товары (алкоголь, табачные изделия и т.д.).
Ценовые методы эластичности основаны на расчетах коэффициентов эластичности спроса (предложения) по цене Кэ, показывающих относительное изменение объема спроса (предложения) товаров при относительном изменении цен на них.
Коэффициент эластичности спроса (предложения) по цене (Кэ — числовой показатель, отражающий степень изменения объема спроса (предложения) в ответ на изменения цены. Он рассчитывается по следующей формуле:
| Кэ = | Процентное изменение объема спроса (предложения) |
| Процентное изменение цены |
Пример 4.10:
Цена на товар повысилась на 5%, спрос на него уменьшился на 2%. Следовательно, Кэ спроса = -2: 5 = - 0,4.
Цена на товар повысилась на 5%, предложение (производство) товара выросло на 1%. Следовательно, Кэ предложения =1: 5 = 0,2.
Отрицательные значения эластичности отражают разную направленность изменений взаимосвязанных величин: одна величина возрастает, другая уменьшается, или наоборот, одна — уменьшается, другая возрастает; положительные значения — одинаково направленные изменения: обе возрастают или обе уменьшаются.
Величина эластичности спроса по цене выражается отрицательным числом, поскольку закон спроса предполагает, что для всякого изменения в цене изменение объема спроса является противоположным. Это означает, что если знаменатель положителен, числитель имеет отрицательное значение, и наоборот. Соотношение показателей двух процентных изменений всегда отрицательная величина, так как числитель и знаменатель имеют разные знаки.
Эластичность предложения всегда положительна. Поэтому необходимости в условном изменении знака эластичности предложения нет. Положительное значение эластичности предложения обусловлено тем, что более высокая цена стимулирует производителей увеличивать выпуск.
Типы реакции покупателей на изменение цены приведены в табл. 4.6.
Таблица 46. Реакция покупателей на изменение цены
| Коэффици-ент эластич-ности | Характер спроса | Поведение покупателей на | |
| увеличение цены | уменьшение цены | ||
| Кэ>1 | Эластичный или относительно эластичный спрос | Значительно снижают объем закупок (спрос снижается более высокими темпами, чем растет цена) Выручка компании падает | Значительно увеличивают объем закупок (спрос растет более высокими темпами, чем снижается цена). Выручка компании растет |
| Кэ = 1 | Единичность или единичная эластичность спроса | Спрос снижается тем же темпом, каким растет цена. Выручка компании не изменяется | Спрос растет тем же темпом, каким падает цена. Выручка компании не растет |
| Кэ < 1 | Неэластичный или относительно неэластичный спрос | Темп снижения спроса меньше темпа роста цены Выручка компании растет | Темп роста спроса меньше темпа снижения цены Выручка компании падает |
Методы максимизации продаж: с использованием ценовых скидок. Основными видами скидок являются:
• скидки с цены за увеличение объема покупок. Эти скидки базируются на учете эластичности спроса — чем эластичнее спрос, тем более действенны скидки данного вида. Их разновидностью можно считать скидки при сезонных распродажах;
• скидки с цены при использовании формы оплаты, более выгодной для продавца, чем та, что указана в его справочной цене. Например, оплата наличными для продавца предпочтительней, чем продажа товара в кредит, так как снижается степень рисков и повышается уровень гарантированности расчетов для продавца. В рамках оплаты наличными более выгодной, с точки зрения продавца, считается аккредитивная форма расчетов, поскольку покупатель резервирует средства оплаты, что также снижает риск для продавца. Скидки предоставляются при авансе за покупку товара и др.;
• скидки с цены продавец предоставляет в случае длительного сотрудничества с покупателем — скидки «за верность»;
• специальные скидки предоставляются покупателям, в которых продавец особенно заинтересован. К ним относятся так называемые привилегированные покупатели, обеспечивающие продавцу выгодные заказы, хорошую рекламу и проч.
Методы «психологического» ценообразования. В условиях современного рынка популярны методы стимулирования, которые получили название «методы психологического ценообразования». Методы данной группы базируются на активном использовании особенностей психологии покупателей, поэтому наиболее широко применяются при продаже потребительских товаров.
Примером является метод расчленения цен. Суть метода заключается в том, что продавец объявляет на данный товар не один, а несколько ценовых показателей.
Первоначально продавец объявляет тот ценовой показатель, который покупателю наиболее понятен и интересен. Например, при продаже мебельных гарнитуров на ценнике стоит цена за сам гарнитур. Затем, когда покупатель принимает решение заключить договор о покупке, продавец объявляет ему дополнительные показатели: расценки за транспортировку, сборку и др. Чем длиннее ряд ценовых показателей, тем труднее покупателю провести сопоставление. Если у покупателя есть возможность вести переговоры о снижении цены, продавец часто снижает один из показателей, за счет повышения другого, еще не объявленного показателя. Этот метод чаще всего используют при продаже относительно сложных товаров, реализация которых обычно сопровождается дополнительными услугами.
Другим примером «психологического» ценообразования является метод ценовых подарков. При этом различают подарки действительные и мнимые. Действительные подарки являются, по сути, скидками с цены и используются в случае угрозы прекращения сбыта товара в силу его морального старения. Выбор прямой скидки с цены, или действительного подарка, диктуется особенностями психологии покупателей. Однако чаще прибегают к мнимым подаркам. В этих случаях при продаже основного относительно более дорогого товара проавец предлагает в качестве подарка относительно более дешевое.изделие. Цена последнего включается в цену основного товара. Этот прием широко практикуется при продаже товаров, продолжающих пользоваться спросом, в целях оживления спроса. В качестве подарка предлагаются, например, кассеты при продаже видео- и радиотехники и пленки при продаже фотоаппаратуры.
Метод ценовых подарков применяется при следующих условиях:
• предложение в качестве подарка только пользующихся спросом товаров (принцип нагрузок в условиях рынка не работает);
• ориентация подарка не только на потребителя, но и на покупателя, и на лицо, стимулирующее покупку. Так, при реализации предметов женского ассортимента в качестве подарков широко используются предметы мужского ассортимента (и наоборот), поскольку давно замечено, что наиболее дорогостоящие (нерациональные) покупки совершают менее осведомленные о товаре лица. Последние [являются покупателями, но не потребителями. В роли лиц, стимулирующих покупку, чаще всего выступают дети. Широкий ассортимент товаров снабжают красочными вкладышами, игрушками. Под давлением детей родители покупают этот товар. Детей же интересует не сам товар, а сопровождающие его элементы, т.е. дети являются в этом случае не потребителями и не покупателями, а лицами, стимулирующими покупку. Однако именно на них ориентирован подарок.
Для современной отечественной практики методы «психологического» ценообразования весьма актуальны, их применение не требует сложных расчетов и инвестиций, а эффект, как свидетельствует практика, получается значительный.






