Основная цель построения модели состоит в том, что она должна обеспечивать машинный переход к соответствующей системе обработки информации, использующей характеристики экономической информационной системы объекта.
Эту цель можно развернуть в виде следующих требований, которым должна удовлетворять модель экономической ИС.
1) Формализованность. Описание компонентов модели, их взаимосвязи, правила композиции и декомпозиции структур модели должны быть понятны и человеку и компьютеру.
2) Структурированность. Структура всех информационных образований от реквизитов и до документов, СЕИ (составных единиц информации), должна быть задана или в явном виде, или в виде некоторых заданных алгоритмов.
3) Информационная и алгоритмическая полнота. Описания модели должны удовлетворять требованиям компьютерного определения параметров информационных потоков, наличия алгоритмов преобразования информации, выбора структуры базы данных, организации и ведения базы данных, управления вычислительным процессом и составления технической документации.
4) Машинная независимость. Особенности внутримашинного представления модели не должны существенно влиять на описание модели.
5) Адаптивность. Модель реального объекта должна сохранять адекватность этому объекту в процессе его функционирования на достаточно большом интервале времени.
В процессе функционирования объекта может модернизироваться его ИС:
- вводятся новые формы документов (отменяются старые);
- меняется методика расчета показателей;
- меняется организационная структура управления.
Адекватно отображать в модели все эти изменения возможно на основе специальной системы организации корректировки и ведения архивов этой модели.
Приведенные требования предопределяют состав описателей ЭИС, включаемых в модель.
Под описателями ЭИС понимают характеристики, сохраняющие постоянные значения заданного объекта на некотором интервале времени.
Всю совокупность описателей ЭИС можно рассматривать как объединение подмножеств первичных и производных описателей.
Подмножество первичных описателей включает следующие основные группы описателей:
- совокупность исходных и формируемых документов и показателей с указанием их взаимосвязей (в соответствии с требованиями п.п. 1,2);.
- совокупность реквизитов с указанием их использования и роли в документе (в соответствии с требованиями п.п. 1,2);
- характеристики реквизитов: наименование, область определения, структура (формат) и т.д. (в соответствии с требованиями п.п. 2,3);
- характеристики документов и показателей, таких как наименование, структура, непроцедурное описание процесса формирования, периодичность, количество значений и т.д. (в соответствии с требованиями п.п. 3,4).
В первое подмножество входит также группа вспомогательных описателей, характеризующих состав и содержание справочной информации, а также формализованных текстов для оформления результатной информации и технической документации (в соответствии с требованиями п.3).
Рассмотренный состав описателей является основой для формирования подмножеств производных описателей ЭИС, таких как:
- объемы входной, промежуточной и используемой информации;
- показатели активности;
- показатели массовости расчетов.
Производные описатели представляют, как правило, количественные оценки ряда параметров, характеризующих ЭИС. Поэтому их часто называют параметрами.
Учитывая, что производные параметры являются функциями основных и вспомогательных описателей и могут быть автоматически получены по заданным алгоритмам. В модель ЭИС включаются описатели первичные.
Абстрагируясь от специфики отображения описателей в машинной интерпретации, представим модель ЭИС в виде 4-х разделов (секций, квадрантов) для отображения первичных основных описателей и вспомогательных таблиц и описаний (для отображения первичных вспомогательных описателей) (рис. 3.7.).
I раздел матрицы открыт справа и сверху,
II раздел матрицы открыт справа и снизу,
III раздел матрицы открыт слева и снизу,
IV раздел матрицы открыт слева и сверху.
Это позволяет вносить изменения в состав и содержание описателей модели, что потенциально обеспечивает выполнение требований п. 5.
Первый раздел является матрицей смежности ориентированного графа информационно-алгоритмической взаимосвязи показателей.
В первом разделе модели отмечается символом «1» тот факт, что для определения значений некоторого показателя
в строке должны быть использованы значения показателей
приведенные в столбцах.
Изображенная ситуация матрицей раздела I на рис. 3.7. может быть представлена графом, где показатели
и
являются исходными, а
и
выходными (рис. 3.8.).

Рис. 3.7. Матричная модель ЭИС.
Каждый столбец, представленный в матрице смежности, является элементарным фрагментом графа (ЭФГ). Он выделяет любую вершину и все непосредственно входящие в эту вершину дуги и вершины (рис. 3.9.).

Рис. 3.8. Граф к первому разделу матричной модели ЭИС, показанной на рис. 3.7.
Каждая строка в этой матрице иллюстрирует активность (интенсивность) использования значений соответствующего входного показателя при определении значений выходных показателей.

F = G(Пi, Дj)
Рис. 3.9. Элементарный фрагмент графа.
Второй раздел показывает реквизитный состав каждого из показателей. Это зафиксировано в столбцах прямоугольной матрицы реквизитного состава показателей.
В приведенном на рис.3.7 примере показатель
П. 1 состоит из реквизитов Р.1, Р.2, Р.3, Р.5;
П. 2 _______»___________Р.1, Р.3, Р.4, Р.5;
П. 3 _______»___________Р.1, Р.5;
П. 4 _______»____________Р.1, Р.3, Р.4.
Строки этой матрицы иллюстрируют, в какие показатели входит соответствующий реквизит.
Третий раздел включает характеристики каждого из используемых реквизитов (см. рис. 3.7, раздел Ш).
Формат задает структуру соответствующего реквизита и используется при расчете объемов информации, определении необходимого места в памяти ЭВМ для хранения значений этого реквизита, при контроле значений реквизита и т.д.
Минимальное и максимальное значения реквизита задаются в соответствии с его форматом, и используются при контроле реквизита.
Адрес наименования реквизита указывает, где расположено полное наименование реквизита. Это наименование используется при образовании форм входных и выходных документов и при формировании технической документации проектируемой системы.
Контроль кода реквизита указывает наличие контроля по модулю и значение этого модуля. Используется при контроле реквизита.
Адрес полного перечня возможных значений реквизита указывает, где расположен соответствующий перечень.
Такой перечень используется при контроле реквизита и при построении некоторых алгоритмов преобразования информации.
Четвертый раздел включает характеристики каждого изиспользуемых показателей.
Для каждого элементарного фрагмента графа ЭФГ можно определить правила получения значений реквизитов выходного показателя через значение реквизитов входных показателей и задать условия, при которых эти правила должны выполняться. Все это называется описанием элементарного фрагмента графа (ОЭФГ).
Описание элементарного фрагмента графа должно содержать:
- условия, определяющие подмножества значений всех входных показателей, над реквизитами которых необходимо осуществить операции преобразования, включая операцию присваивания;
- правила получения значений реквизитов - признаков выходного показателя в соответствии с выделенными подмножествами значений входных показателей. Реквизитом-признаком называется такой, значение которого определяет некоторое обстоятельство действия: место действия, действующих лиц, продукты труда, время и т.д.;
- формулы расчета значений реквизита – основания выходного показателя в соответствии с выделенными подмножествами значений входных показателей. Реквизит- основание (количественный реквизит)- это такой реквизит, значение которого определяет меру действия (количество или стоимость предметов и продуктов труда, норму выработки или времени и т.д.).
Периодичность получения значений показателя указывает, как часто должно выполняться соответствующее описание элементарного фрагмента графа.
Адрес наименования показателя указывает, где приведено полное наименование соответствующего показателя. Эти наименования используются при формировании входных и выходных документов и машинном оформлении технической документации проектируемой системы обработки экономической информации.
Адрес текстового описания элементарного фрагмента графа (ЭФГ) указывает, где приведено неформализованное его описание, используемое при машинном формировании технической документации проектируемой системы.
Для удобства использования модели ЭИС, как правило, имеется дополнительная информация, носящая справочный характер:
- каталог реквизитов, каталог показателей, каталог текстовых описаний элементарного фрагмента графа, матрица взаимосвязи показателей с формами входных и выходных документов, каталог форм входных и выходных документов.
Каталог реквизитов состоит из идентификатора реквизита, адреса наименования этого реквизита и самого наименования реквизита.
Каталог показателей включает идентификатор показателя, адреса наименования этого показателя и самого наименования показателя.
Каталог текстовых описаний элементарных фрагментов графа содержит идентификатор описания ЭФГ, адрес текстового описания ЭФГ и соответственно текст описания.
Структура матрицы взаимосвязи показателей с формами входных и выходных документов приведена на рис. 3.10.
Она представляет собой матрицу смежности соответствующего графа взаимосвязи.

Рис. 3.10. Матрица взаимосвязи показателей и форм документов.
Форма входного и выходного документа содержит один или несколько показателей. Так форма Ф.1 включает показатели П.1 и П.3, форма Ф.2 – показатель П.2.
Каталог форм входных и выходных документов включает код формы соответствующего документа, структуру (бланк) формы документа и описание формы этого документа.
Среди множества возможных преобразований экономической информации можно выделить ряд преобразований, обладающих достаточно высокой алгоритмической сложностью и в то же время достаточно хорошо формализованных и апробированных, так что для их реализации уже существуют проектные решения.
К таким преобразованиям, например, относятся методы дискретного программирования, корреляционного анализа, решения дифференциальных уравнений и др. Проектные решения таких преобразований существуют в виде пакетов прикладных программ с возможностью параметрической настройки этих пакетов, к конкретным условиям рассматриваемой АИС.
Отметим, что такие преобразования могут быть представлены в каноническом виде. Однако, осуществлять такое представление нерационально, так как более эффективным является использование уже готового пакета программ.
Отсюда можно сделать вывод, что в каноническом представлении модели целесообразно иметь возможность выделять отдельные фрагменты графа информационной взаимосвязи показателей и представлять их в виде автономных преобразователей, имеющих на входе и выходе некоторые совокупности показателей.
Определим операцию стягивания вершин графа как операцию уменьшения числа вершин и дуг графа за счет образования новой вершины не информационного, а процедурного типа – вершины-преобразователя.
Вершина-преобразователь представляет в абстрактном виде процедуры преобразования значений входных показателей в выходные и является структурным эквивалентом некоторого фрагмента графа.
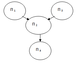
После операции стягивания вершин графа из некоторого фрагмента графа получаем П - конструкцию (рис. 3.11.).
На П - конструкции кружки обозначают показатели (входные и выходные), прямоугольник – алгоритм (формализованный или машинный), преобразования значений входного показателя (ВП) в значение выходного – (ВЫП). В П - конструкции наряду с показателями (входными и выходными) могут использоваться и документы (ВС – входные, ВЫС – выходные).
Следует заметить, что показатели являются частным случаем документов. Однако алгоритмы дальнейших преобразований над моделью ЭИС построены, исходя из канонического представления модели, т.е. такого, когда в качестве вершин графа используются только показатели.
Также отметим, что П - конструкции могут быть представлены из элементарного фрагмента графа – ЭФГ.
Есть еще одно важное свойство П - конструкций – их рекурсивность, заключающаяся в том, что любые совокупности входных и выходных показателей могут быть представлены в виде промежуточных П - конструкций.
Отсюда следует вывод, что в операции стягивания вершин графа в качестве исходных моделей могут использоваться:
- элементарные фрагменты графа;
- П - конструкции;
- конструкции преобразования документов.
Структура П - конструкции представлена на рис. 3.11.

Рис. 3.11. П - конструкция.
П. - конструкцию можно интерпретировать как совокупность ЭФГ (рис. 3.12.).

Рис. 3.12. Представление П – конструкции в виде ЭФГ.