Элементы классической электронной теории металлов
Рассмотрим электрический ток в металлах. Согласно классической электронной теории при образовании кристалла металла из отдельных атомов валентные электроны отделяются от атомов. Образующиеся при этом положительные ионы занимают места в узлах кристаллической решетки. Валентные электроны, отделившиеся от атомов, заполняют все пространство между положительными ионами, компенсируя их кулоновское отталкивание. Положительные ионы в узлах кристаллической решетки совершают только колебательное движение. Электроны совершают тепловое хаотическое движение подобно молекулам идеального газа. Правда, в отличие от молекул газа электроны сталкиваются преимущественно не между собой, а с ионами в узлах кристаллической решетки. Благодаря этим столкновениям устанавливается тепловое равновесие между газом свободных электронов и кристаллической решеткой.
При включении электрического поля в металле начинается направленное движение электронов, то есть появляется электрический ток, плотность которого равна:
|
|
|
, (2.21)
где n – концентрация электронов;
– средняя скорость направленного движения электронов. Сила, действующая на электроны со стороны электрического поля, сообщает им ускорение
. (2.22)
К концу пробега скорость упорядоченного движения достигает, в среднем, значения
, (2.23)
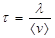
где t – среднее время между двумя последовательными соударениями электрона с ионами. Это время определяется хаотическим тепловым движением электронов и может быть оценено по формуле
, (2.24)
где l – средняя длина свободного пробега (по величине она должна быть близка к постоянной кристаллической решетки); < v> – средняя скорость теплового хаотического движения. Поэтому
. (2.25)
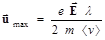
Среднее значение скорости упорядоченного движения равно половине максимального:

. (2.26)
Тогда выражение для плотности тока в металле принимает вид
. (2.27)
Следовательно, электропроводность металла определяется формулой
. (2.28)
Таким образом, согласно классической электронной теории сопротивление металла обусловлено соударениями свободных электронов с ионами кристаллической решетки. Столкнувшись с ионом, электрон передает приобретенную от электрического поля дополнительную кинетическую энергию кристаллической решетке. Сообщенная решетке энергия идет на увеличение внутренней энергии металла, что проявляется в нагревании проводника. Отсюда также можно вывести закон Джоуля–Ленца для участка цепи (2.11)
Следует отметить трудности, с которыми столкнулась классическая электронная теория проводимости металлов. Первая трудность относится к самой успешности теории. В основе ее лежат весьма грубые упрощения реальной картины, не учитывается весьма сильное кулоновское взаимодействие между частицами. Но все попытки учесть взаимодействия приводят только к ухудшению согласия теории с экспериментальными данными.
|
|
|
Вторая трудность связана с зависимостью удельного сопротивления металла от температуры. Из молекулярной физики известно, что средняя скорость теплового движения частиц в теле
пропорциональна корню квадратному из абсолютной температуры, откуда должна следовать пропорциональность этой величине удельного сопротивления металла. Но эксперимент показывает, что при высоких и средних температурах удельное сопротивление пропорционально первой степени абсолютной температуры. А при температурах, близких к абсолютному нулю, сопротивление части металлов скачком обращается в точный нуль, это называется явлением сверхпроводимости металлов. Классическая электронная теория не может объяснить ни явление сверхпроводимости, ни линейную зависимость удельного сопротивления от температуры.
Третья трудность связана с молярной теплоемкостью металлов. Эксперимент показывает, что для всех металлов значения этой величины близки к 3R, где R – универсальная газовая постоянная. Такое значение соответствует средней тепловой энергии, приходящейся на один атом 3kT, где k – постоянная Больцмана, а эта энергия приходится на три колебательных степени свободы иона в узле кристаллической решетки. Таким образом, теплоемкость металла есть теплоемкость его кристаллической решетки, а теплоемкость идеального газа электронов на эксперименте не наблюдается. Между тем, для одновалентных металлов она должна увеличить общую теплоемкость в полтора раза, а для двухвалентных – вдвое.
Все перечисленные трудности удалось преодолеть только после перехода при описании электронного газа в металле от классической механики к квантовой.






