Средние величины и показатели вариации признака — основные параметры для характеристики совокупности. К первым относятся средняя арифметическая, средняя геометрическая, средняя гармоническая, мода и медиана, ко вторым — лимиты, среднее квадратическое отклонение, варианса, коэффициент вариации.
Средние величины. Средняя арифметическая (х) показывает, какое значение признака наиболее характерно в целом ««рля данной совокупности. Она используется для сравнения пород, стад, линий, семейств и т. д. по какому-либо признаку.
Средняя геометрическая (G) используется для изучения среднего прироста живой массы, увеличения численности стада и т. д. Этот показатель вычисляют по формуле

где V\... Vn — варианты, т. е. варьирующий признак; п — число членов в выборке.
Средняя квадратическая(5) используется для определения средних площадей, диаметров, радиусов (диаметр эритроцитов, объем клеточного ядра и т. д.). Формула для расчета

где £ — знак суммирования.
Средняя гармоническая (Н) используется при усреднении меняющихся скоростей (скорость молоковыведения, скорость бега лошадей). Определяют по формуле

Мода (Мо) — наиболее часто встречающаяся варианта в совокупности.
Медиана (Me) — варианта, расположенная в середине (центре) ряда и делящая его на две равные части.
Показатели вариации. Средняя арифметическая указывает на среднее значение признака в совокупности и не может характеризовать его_ изменчивость. Например, в одном стаде средний удой коров xi = 3500 кг, во втором х% = 3600. По значениям х невозможно что-либо сказать об изменчивости удоя. Важно знать не только средние показатели по стаду, но и вариацию признака.
Для характеристики разнообразия признаков в совокупности служат лимиты, среднее квадратическое отклонение, варианса, коэффициент вариации.
Лимиты (Urn) — это максимальное и минимальное значения признака в совокупности. Чем больше разность между максимальной (max) и минимальной (min) вариантой, тем, в общем, выше изменчивость признака. Если у сухостойных коров лимит по содержанию количества лейкоцитов в 1 мм3 крови lim = 11,4—3,2, а у больных некробактериозом коров шп — 13,6—3,6, то признак сильнее варьирует у коров второй группы (разность в первом случае составляет 8,2, а во втором — 10). Однако при одинаковых лимитах изменчивость в сравниваемых группах может различаться, так как лимиты не учитывают распределения отдельных вариант в совокупности.
Среднее квадратическое или стандартное, отклонение привлекается как более точный показатель для характеристики изменчивости. Среднее квадратическое отклонение обозначается буквой а (сигма). Эта величина именованная, т. е. выражается в тех же единицах, что и х (кг, см, % и т. д.). Чем больше величина а, тем выше изменчивость.
Вся изменчивость^ признака лежит от средней арифметической в пределах ±3сг (х±3о). Это н&зываетсяправилом «плюс-минус трех сигм». Поэтому средняя арифметическая, увеличенная и уменьшенная на три сигмы, дает практически крайние значения признака.
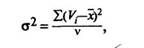
Варианса (а2) также является показателем изменчивости признака. Варианса — это сумма квадратов отклонений отдельных вариант от средней арифметической, деленной на число степеней свободы:

где у —число степеней свободы, т. е. количество всех вариант совокупности, уменьшенных на единицу (v = л—1).
Для выборки из 64 особей (п = 64) число степеней свободы равно 63 (v = л—1 = 64—1 = 63). Среднее квадратическое отклонение можно получить из вариансы, так как а = V<?.
К о э ф ф^и циент вариации (Су) показывает, какой процент от х составляет а. С помощью среднего квадратическо-го отклонения можно сравнить изменчивость двух и более групп животных в отношении одинаковых признаков. Однако им нельзя воспользоваться для сравнения изменчивости двух и более признаков, выраженных в разных единицах, например молочности, жирномолочности, живой массы, количества лейкоцитов в крови и т. д.
Для коров по первой лактации (племзавод «Первомайский») получены следующие данные: для жира — х = 3,8 % и о = 0,17 %, а для удоя — х = 4240 кг и а = 748 кг. Как видно, сравнить величины 0,17 % и 748 кг невозможно. С помощью сг также нельзя сравнивать изменчивость, например, живой массы, если она вычислена в первом случае для взрослых коров, а во втором для телят при рождении или в 1, 2, 3 мес и т. д. Поэтому для сравневфя изменчивости двух и более признаков, выраженных в разных единицах, применяют коэффициент вариации {Су). Сравнивая коэффициенты вариации для удоя и процента жира, можно сказать, что изменчивость удоя у коров первой лактации значительно выше (18,6 %), чем процента жира (4,5 %). При характеристике совокупности коэффициент вариации является дополнительным показателем и должен применяться с основными параметрами х и ст.
Вычисление средней арифметической и показателей вариации. Для больших выборок (п > 30) применяют непрямой способ вычисления средней арифметической и других статистических показателей. Здесь мы рассмотрим способ произведений. Для этого строят вариационный ряд (табл. 10) и среднюю арифметическую вычисляют по формуле

где А — условная средняя; b — поправка к условной средней; к — классный промежуток; /— число вариантов в классе; а — условное отклонение отдельных классов (выраженное в классных промежутках) от среднего условного класса (А); п — число вариантов в выборке.
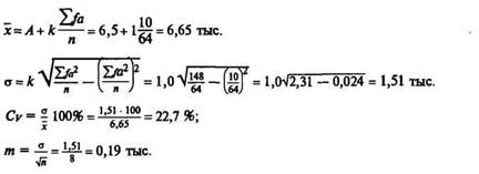
За условную среднюю А обычно принимается среднее значение класса с наибольшей частотой вариант или находящееся приблизительно в середине вариационного ряда. В нашем примере за условную среднюю взято среднее значение 4-го класса. Этот класс для наглядности выделим двумя жирными линиями. Для вьиислений средних значений классов и условной средней А нужно к началу каждого класса приплюсовать половину классного промежутка (к): А = 6 + к: 2 = 6 + 1:2 = 6,5.
10. Определение основных статистических величин способом
произведений длв содержания количества лейкоцитов
в крови сухостойных коров (тыс. в 1 мм)
| >: № класса | Класс | Частота / | Условное отклонение Wf-Л | ||||
| границы | среднее значение Wi | ||||||
| J" ifc | |||||||
| 3,0-3,9 4,0-4,9 5,0-5,9 | 3,5 4,5 5,5 | 1 4 17 | -3 -2 -1 | -3 -8 -17/T-28 | 9 16 | ||
| 4 5 6 7 8 9 | 6,0-6.9 7,0-7,9 8,0-8,9 9,0-9,9 10,0-10,9 11,0-11,9 | А = 6.5 7,5 8,5 9,5 10,5 11,5 | 24 7 6 2 2 1 | 0 +1 +2 +3 +4 +5 | 0 7 12 6 8 5/Z38 | 7 24 18 32 25 |


Определяем условное отклонение для каждого класса:

Классный промежуток я = 64 к = 1,0
В четвертой строке вариационного ряда и пятой колонке ставят нуль {а - №?Г~у4 = 6'5Т6?5-= 0), далее в сторону уменьшения
средних значений классов ставят —1, —2, —3, а в сторону увеличения классов +1, +2, +3, +4, +5. Заполняем шестую и седьмую колонки. Среднее количество эритроцитов в 1 мм3 крови сухостойных коров равно х = 6,65 тыс. Средняя арифметическая величина именованная, т. е. выражается в тех единицах, что и признак, для которого она вычислена.
Среднее квадратическое отклонение равно ст = 151 тыс. лейкоцитов в 1 мм3. В границах Зст находится 99,7 % всех членов совокупности. Максимальное количество лейкоцитов в 1 мм3
крови будет х+Зсг = 6,65 + 31,51 = 11,18 тыс., а минимальное — х— За = 6,65 — 3-1,51 = 2,12 тыс. Поэтому в стаде имеется 99,7 % коров с количеством лейкоцитов от 11,18 до 2,12 тыс. В пределах ± 2ст содержится 95,5 % всех вариант, а в пределах ± 1а-68,3 %.
Принято считать, что если отклонение от средней арифметической превышает За, то данная особь не относится к изучаемому вариационному ряду, а, видимо, является представительницей другого вариационного ряда.
Нормированное отклонение (/) используют для изучения изменчивости при нормальном распределении. Оно представляет отклонение той или иной варианты (или группы вариант) от средней арифметической, выраженное в а:

С помЙцью таблицы 11, зная хио, можно построить теоретическую кривую распределения и установить долю особей с определенной величиной признака.
11. Значение нормального интеграла вероятностей
| ,-V-x - l.-V-x _ |,_И-х _ \._v-x | ||||||
| ' a | о | y II о | ||||
| 0,1 | 0,0398 | 0,9 | 0,3159 1,7 | 0,4554 | 2,5 | 0,4938 |
| 0,2 | 0,0793 | 1,0 | 0,3413 1,8 | 0,4641 | 2,6 | 0,4953 |
| 0,3 | 0,1179 | 1Д | 0,3643 1,9 | 0,4713 | 2,7 | 0,4965 |
| 0,4 | 0,1554 | 1,2 | 0,3849 2,0 | 0,4773 | 2,8 | 0,4974 |
| 0,5 | 0,1915 | 1,3 | 0,4032 2,1 | 0,4821 | 2,9 | 0,4981 |
| 0,6 | 0,2258 | 1,4 | 0,4192 2,2 | 0,4861 | 3,0 | 0,4987 |
| 0,7 | 0,2580 | 1,5 | 0,4332 2,3 | 0,4893 | 3,5 | 0,4998 |
| 0,8 | 0,2831 | 1,6 | 0,4452 2,4 | 0,4918 |
Если известны х и а, то, используя таблицу 11, можно определить долю (%) коров с количеством лейкоцитов, например, свыше 8 тыс. Определяют

По таблице 11 находим, что в пределах от х до х + t = 0,9а содержится 0,3159 варианты, или 31,59 %. Поэтому коров с количеством лейкоцитов свыше 8 тыс. будет 50 — 31,59 = 18,41 %.
Коэффициент вариации (Су) количества лейкоцитов в нашем примере равен 22,7 %. Можно сказать, что изменчивость количества лейкоцитов в 1 мм3 крови коров выше, чем, например, изменчивость содержания белка и жира в молоке (Су =4 — 8 %), общего белка в сыворотке (Су = 3 — 8 %) и альбуминов (Су= 5 — 13 %).
Оценка достоверности статистических показателей. В практической работе основные параметры совокупности х и ст вычисляют не по генеральной совокупности, а по выборке; вследствие этого возникают ошибки, называемые ошибками выборочности (ошибки репрезентативности). Так, племенную ценность производителя определяют не по всем возможным, а по небольшому количеству дочерей и на основании этого делают заключение о дальнейшем его использовании. В связи с этим величины х и о, вычисленные при изучении выборки, в некоторой степени отличаются от тех их значений, которые были бы получены для генеральной совокупности. Поэтому приходится оценивать степень точности выводов, основанных на анализе выборочных данных, вычисляя для этого ошибки статистических показателей.
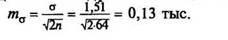
Ошибка средней арифметической (/и). Ошибку средней арифметической определяют по формуле т = cr/V/z. Размер ее зависит от изменчивости признака и размеров выборки. Чем меньше изменчивость и больше объем выборки, тем меньше ошибка. Для нашего примера т = 0,19 тыс. Обычно среднюю арифметическую записывают с ее ошибкой: х ±т, т. е. 6,65+0,19.

Ошибка коэффициента вариации

Ошибка соелнего квалиатического отклонения
Если увеличить или уменьшить среднюю арифметическую на Зт, то мы получим границы, в которых находится х генеральной совокупности. В нашем случае х_+ Зт = 6,65 + 3 • 0,19 = = 7,22 тыс. (максимальное значение) и х— Зт = 6,65 — 3 • 0,19 = =6,08 тыс. (минимальное значение).