Метод пространства состояний (метод переменных состояния) основан на понятии "состояние системы". Состояние динамической системы описывается совокупностью физических переменных xi(t),..., xn(t), характеризующих поведение системы в будущем при условии, если известно состояние в исходный момент времени и приложенные к системе воздействия.
В общем случае нелинейной системы, описание в переменных состояния имеет вид
. (6)
Если функции f1, f2,..., fn линейны относительно переменных x1, x2,..., xn, u1, u2,..., un и не зависят от времени t, то их можно привести к виду
. (7)
В матричной форме выражение (7) имеет вид
. (8)
Такое выражение называется уравнением динамики для многомерной системы (u > 1), а в более компактном виде оно записывается через матричные операторы
. (8a)
где
и
вектор-столбцы, содержащие все переменные состояния и входные сигналы соответственно;
A - матрица динамики (состояния) объекта или системы размерностью n x n, (n - размерность вектора x);

В — матрица управления (входа) размерностью n x m, (m — размерность вектора и), в случае одномерных систем матрица управления - вектор-столбец;

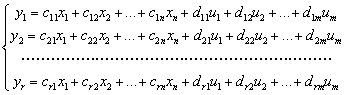
Для полного описания системы в пространстве состояний к уравнениям динамики (8) или (8 а) необходимо добавить уравнения, устанавливающие связи между переменными состояния x1,..., xп и выходными переменными y1,...,yr между входными u1,..., um сигналами и выходными переменными y1,...,yr. Эта связь выражается в виде системы линейных алгебраических уравнений:
; (9)
или в векторно-матричной форме, называемой уравнением выхода
, (9a)
где
- матрица-столбец выходных сигналов системы;
C - матрица выхода размерностью r x n, (r - размерность вектора y), в случае одномерных систем матрица выхода - вектор строка;
;
D - матрица обхода (компенсации или усиления по входу), связывающая между собой входные и выходные сигналы. В реальных системах чаще всего такая связь отсутствует. Размерность матрицы обхода r x m. Для одномерных систем размерность матрицы обхода (1 x 1).
Для одномерных систем описание в пространстве состояний выглядит следующим образом
. (10)
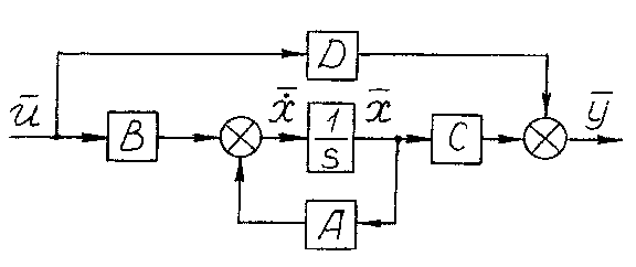
Таким образом, описание САУ в пространстве состояний выглядит как система двух уравнений в векторно матричной стандартной форме Коши
. (11)
Выражению (11) соответствует условная структурная схема, изображенная на рис. 2.

Рис. 2. Условная структурная схема многомерной САУ описанной уравнениями в пространстве состояний.
Описание системы управления в пространстве состояний удобно тем, что позволяет проводить анализ САУ на такие важные свойства как управляемость и наблюдаемость.
Понятие управляемость связано с возможностью приведения системы в заданное состояние с помощью входных или управляющих воздействий.