БИРЖЕВЫЕ ИНДЕКСЫ
ЛЕКЦИЯ 13
При совершении операций с ценными бумагами важно знать динамику курсов их конкретных видов, правильно оценивать воздействие всех факторов, влияющих на динамику. Оценками финансового положения и состояния менеджмента компаний, которые во многом определяют курсы их акций и облигаций, занимаются специальные экономисты-аналитики, объединенные в особые независимые коммерческие организации. Они исследуют эти проблемы как по собственной инициативе, так и по заказам эмитентов ценных бумаг или брокеров (результаты этих исследований публикуются в специальных информационных бюллетенях). Используемые ими методы представляют собой "ноу-хау" и чаще всего до конца не раскрываются.
Тенденции, воздействующие на факторы, определяющие изменения курсов ценных бумаг, выявляются в процессе статистического исследования эмпирических закономерностей. Для оценки влияния спроса и предложения на курсы ценных бумаг применяются методы эконометрики, и по конкретным факторам спроса и предложения оценивается эластичность отдельных курсов.
|
|
|
Для общего определения конъюнктуры рынка ценных бумаг, т. е. для выработки синтетического показателя, отражающего их курсы в целом, необходимо располагать надлежащей информацией о курсах, зафиксированных во множестве единичных конкретных сделок с ценными бумагами. Однако не все такие сделки и соответствующие курсы фиксируются: большинство сделок с ценными бумагами совершается на внебиржевом рынке. Только часть компаний придает своим сделкам организованную форму, прибегая к услугам фондовых бирж. Курсы отдельных ценных бумаг и общая конъюнктура на фондовой бирже и на внебиржевом рынке влияют друг на друга.
Рассмотрим, как происходит сравнение различных конъюнктур на рынке ценных бумаг. Предположим, что в один момент времени наблюдается одна конъюнктура, один набор цен на акции, в другой момент - другая конъюнктура, другой набор. Возникает необходимость сравнения двух конъюнктур для выяснения вопроса о том, происходит ли при переходе от одной системы цен к другой улучшение рыночной конъюнктуры или же ее ухудшение. Вопрос представляется сложным по меньшей мере по двум причинам.
Во-первых, число листинговых акций, а потому число их курсов, которые и составляют биржевую конъюнктуру, может быть очень большим. Поэтому обязателен отбор тех акций, которые наиболее представительны и фактически формируют конъюнктуру.
Во-вторых, даже если число акций оказывается малым, то и в этом случае суждение о состоянии конъюнктуры может оказаться затруднительным.
Приведем пример, в котором сравниваются по предпочтительности (с точки зрения тех, кто играет "на повышение") три конъюнктуры по курсам двух акций:
|
|
|
| Акции | Конъюнктура (цены в долл.) | |
| 8 11 9 12 9 13 |
При конъюнктуре 3 цена каждой акции выше, чем при конъюнктуре 1. Поэтому конъюнктура 3 более высокая (лучшая), чем конъюнктура 1. Однако ответы на вопросы о сравнении конъюнктур 1 и 2, а также 2 и 3 уже не столь однозначны.
Как же следует сравнивать эти конъюнктуры с точки зрения того, кто играет на повышение? Изменению цены какой из акций следует здесь отдать предпочтение? Какое из них "перевешивает" другое?
Чтобы получить возможность единообразного нахождения ответов на эти вопросы, нужно научиться оценивать каждую конъюнктуру на рынке акций единственным числом и считать ту из них более благоприятной, которой соответствует большее значение этого числа. Такие присущие биржевым конъюнктурам числа называются биржевыми индексами.
Биржевые индексы обычно рассчитываются как взвешенная среднеарифметическая величина, определяемая с учетом не только относительного изменения, но и абсолютной цены акций компаний, образующих корзину индекса.
Биржевая практика привела к созданию большого числа разных биржевых индексов. Исторически первым и наиболее известным из них является индекс Доу - Джонса, предложенный в 1886 г. американскими учеными Ч. X. Доу и Э. Д. Джонсом.
Индекс Доу - Джонса представляет собой систему из четырех самостоятельных индексов: промышленного, транспортного, коммунального и комплексного. Каждый из этих индексов формируется на основе цен на акции компаний-лидеров соответствующих отраслей экономики на Нью-Йоркской фондовой бирже. Ввиду тесной и "мгновенной" электронной связи между большинством крупных фондовых бирж мира индексы Доу - "Джонса фактически отражают конъюнктуру всего мирового бизнеса.
Каждый из индексов Доу - Джонса представляет собой сумму цен акций точно фиксированных акционерных компаний, поделенную на некоторый корректирующий делитель, роль и величина которого будут показаны далее. Отметим только, что этот делитель изменяется значительно медленнее, чем цены на акции: в течение многих дней и даже недель он может оставаться постоянным.
В экономике, как и в физике, каждой величине естественно приписывать некоторую размерность и измерять эту величину в единицах соответствующей размерности. Размерность биржевого индекса достаточно специфична. Курсы, Содержащиеся в биржевых бюллетенях, могут обозначаться в процентах от номинальных стоимостей акций. Тем не менее не все выпускаемые акции имеют номинальную цену, поэтому существует другой способ выражения их курсов - в валюте за единицу ценной бумаги. Последний способ наиболее распространен.
Индекс Доу - Джонса отличается простотой вычисления, которая сочетается с его достаточно четким реагированием на всякого рода колебания биржевых курсов и особенно на биржевые кризисы (примером служит его беспрецедентное падение за один день 19 октября 1982 г. сразу на 508,32 пункта).
При построении и обосновании целесообразности применения индексов Доу-Джонса необходимо ответить на три вопроса.
1. Как определить список компаний, на базе курсов акций которых следует вычислить индекс Доу - Джонса?
2. Почему в формуле индекса Доу - Джонса фигурирует именно сумма курсов акций (а не какая-нибудь другая их характеристика, например "взвешенная" сумма)?
3. Какова роль корректирующего делителя и как он вычисляется? Рассмотрим последовательно ответы на эти вопросы, начиная с составления списка акционерных компаний.
Наиболее известен промышленный индекс Доу - Джонса. Когда намереваются использовать индекс Доу - Джонса, то имеют в виду именно его. При вычислении значения индекса суммируются курсы - акций 30 наиболее крупных промышленных компаний, достаточно репрезентативно отражающих биржевую конъюнктуру. Попасть в число компаний весьма престижно и означает сделать себе рекламу.
|
|
|
Список промышленных компаний, используемый при исчислении индекса Доу-Джонса, обновляется хотя и медленно, но систематически (первоначально он охватывал 12 компаний). При внесении в список учитываются различные критерии. Прежде всего включаются крупные корпорации с устойчивым доходом. Кроме того, желательно, чтобы каждая из них располагала большим акционерным капиталом и занимала ведущее положение в том секторе экономики, к которому относится.
Некоторые экономисты полагают, что список Доу - Джонса должен отражать отраслевую структуру экономики "пропорционально-представительным" образом. Так, действующий список Доу - Джонса критикуется из-за того, что в нем слишком много корпораций, занимающихся производством средств производства, энергетикой и отраслями новейших технологий, но недостаточно отражены финансовые корпорации и совсем нет предприятий сферы услуг. Высказываются и предложения об исключении из списка Доу - ДяГонса компаний отраслей с ярко выраженной цикличностью производства и компаний с особо устойчивыми курсами акций. В интересах полноты списка целесообразно наличие в нем компаний, движение курсов акций которых отражает циклический характер развития экономики.
Индекс Доу - Джонса призван отражать конъюнктуру на фондовой бирже, т.е. информировать о динамике цен на акции. Вместе с тем он не должен реагировать на события, непосредственно с биржевой конъюнктурой не связанные. К ним относятся, например, дробление и укрупнение номиналов акций компаний, входящих в список Доу - Джонса, замещение в списке Доу - Джонса акций одной компании на акции другой, имеющие иную цену. В результате подобных событий арифметическое значение суммы цен акций может изменяться, хотя биржевая конъюнктура ими непосредственно затронута не будет (они могут лишь косвенным образом повлиять на ее изменения). Необходимо, чтобы такого рода события оставляли индекс Доу - Джонса без изменений. Поэтому изменение арифметической суммы цен акций должно быть компенсировано изменением корректирующего делителя, роль которого именно в этом и состоит.
|
|
|
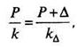
Удобнее всего представить изменение корректирующего делителя в формальном виде. Пусть в некоторый момент конъюнктура обозначается индексом Доу - Джонса D, который равен
(Р - сумма цен акций всех компаний, входящих в список Доу - Джонса; к - корректирующий делитель). Предположим, что произошло некоторое событие (изменение номинала акций, изменение списка Доу - Джонса и т. п.), в результате которого арифметическое значение суммы акций изменилось на величину ∆ и стало равным Р + ∆. Величина ∆ может быть как положительной, так и отрицательной. Поскольку речь идет о той же самой биржевой конъюнктуре, новый индекс Доу - Джонса должен быть равен старому. Это значит:

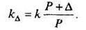
где к ∆- новое значение корректирующего делителя.
Из этой пропорции следует:

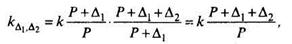
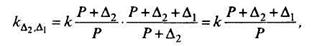
Описываемые события, влияющие на изменение корректирующего делителя, могут проявлять тенденцию к "окучиванию", когда несколько таких изменений будет происходить "мгновенно" или, например, в один и тот же биржевой день. По этому поводу может возникнуть опасение, что итоговое изменение корректирующего делителя будет зависеть от порядка, в котором происходят частные изменения, так что этот порядок придется идентифицировать и учитывать. В действительности такие опасения оказываются напрасными. В самом деле, если от первого события сумма цен акций изменится на А,, а от второго - на Д2, то из формулы (1) следует:

а также, что

корректирующие делители k ∆1,∆2 и k ∆2,∆1 оказываются одинаковыми.
В процессе анализа корректирующего делителя индекса Доу - Джонса обнаруживается тенденция к его снижению. Так, в 1981 г. он был равен 1,314, в 1994 г. - только 0,444.
Однако даже с учетом корректирующего делителя индекс Доу - Джонса позволяет сравнивать биржевые конъюнктуры для моментов, отделенных друг от друга разве лишь на небольшое число лет. Так, пик конъюнктуры пришелся на октябрь 1929 г., затем наблюдался ее крутой кризисный спад в последующие месяцы и даже годы. Однако едва ли будет правомерно характеризовать конъюнктуру конца 50-х гг. промышленным индексом Доу - Джонса 700 и тем более конца 80-х гг. индексом 2100 как рынок ценных бумаг, еще более процветающий, чем рынок конца 1929 г. Поэтому можно считать, что абсолютное значение индекса Доу - Джонса имеет скорее психологический, чем аналитический смысл.
Существенный вклад в динамику индекса Доу - Джонса вносит инерция, при которой наряду со старыми номинальными значениями индекса рассматриваются его значения в современных ценах, вычисленные так, будто существующий уровень инфляции был достигнут еще в момент вычисления индекса. Такие вычисления для ретро сравнений значения индексов называются реальными. Как правило, реальное значение индексов обнаруживает меньшую тенденцию к общему возрастанию и вместе с тем большую неустойчивость.
Построение других индексов Доу - Джонса производится так же, как промышленного. Комплексный индекс Доу - Джонса охватывает акции всех 65 входящих в три других списка компаний (промышленных, транспортных, коммунальных), Для него в январе 1994 г. корректирующий делитель был равен 2,266.
Индекс Доу - Джонса имеет характер текущей экспресс - информации. В течение биржевого дня он фиксируется 7 раз: при открытии Нью-Йоркской фондовой биржи, в 10 и 11 часов утра, в полдень, а также в 13, 14 и 15 часов дня. Кроме того, фиксируется заключительное значение индекса (на момент закрытия биржи), равно как и его наибольшее и наименьшее значения за прошедший биржевой день. Каждое из этих трех последних значений индекса не обязательно должно совпадать с каким-либо из его "часовых" значений. Одновременно со значениями индекса Доу - Джонса за истекший биржевой день, как правило, указывается общий объем дневных продаж акций компаний из списка Доу -Джонса.
Значение индексов Доу - Джонса и их динамика подробно описываются в ежедневных публикациях в прессе (например, в газете "The Wall Street Journal"). Эти публикации имеют стандартную форму.
Наряду с такими таблицами регулярно публикуются диаграммы, описывающие динамику индексов Доу - Джонса более наглядно. Из них для каждого биржевого дня отмечаются максимальные (верхние) и минимальные (нижние) текущие значения индекса, а также его заключительное значение за этот день.
Обратимся к обоснованию выбора индекса Доу - Джонса. При этом будет рассматриваться один и тот же список акций. Акции из этого списка обозначены номерами 1, 2,..., п (номера можно принимать как названия акционерных компаний).
Биржевая конъюнктура может быть охарактеризована набором цен на каждую из акций списка. Поэтому всякий такой набор цен будем называть биржевой конъюнктурой или просто конъюнктурой. Конъюнктуры будем обозначать выражениями, содержащими перечисления составляющих их цен: p1, …,pn (сокращенно р), q1,..., qn (сокращенно q) и т.д.
Поставим в соответствие каждой конъюнктуре р значение Ind p некоторого индекса. Структуру этого индекса, форму его зависимости от конъюнктуры, т.е. от цен на акции, оказывается возможным восстановить по ряду естественных требований, предъявляемых к индексу. Эти требования состоят в выполнении следующих условий:
а) независимость от начала отсчета цены каждой акции. Биржевые индексы призваны оценивать не столько сами конъюнктуры, сколько их изменения. Поэтому, рассматривая ситуацию на бирже, анализируя подъем (падение) индекса Доу - Джонса (какого-нибудь другого индекса) на какое-то число пунктов, сравнительно редко упоминают, от какого именно уровня и до какого поднялся (опустился) этот индекс. В итоге сравнение двух вариантов для "завтрашних" конъюнктур зависит от вариантов изменений цен акций в "сегодняшней" конъюнктуре и не зависит от того, какова именно эта "сегодняшняя" структура. Математически это выглядит так. Пусть имеются конъюнктуры p = (р1,..., pn) и q = (q1,..., qn). Будем отсчитывать цены на акции в конъюнктурах р и q от других, более глубоких уровней: - α1,..., - αn. В результате получим формально другие конъюнктуры:

Будем тогда считать, что соотношение между индексами конъюнктур р и q совпадает с соотношением между индексами конъюнктур р αи q α , т.е.

б) симметрия. Сравнение индексов конъюнктур на бирже зависит только от самих наборов цен на акции, но не от того, акция какой именно конкретной компании из индексного списка имеет данную цену.
Формально это можно выразить так:

(циклическое переименование акций в индексном списке не изменяет значения индекса);
в) линейная однородность. Введение биржевого индекса преследует цель дать не только относительное сравнение биржевых конъюнктур, но и количественную оценку каждой из них. При этом естественным представляется требование, чтобы биржевой индекс изменялся пропорционально при изменении единиц измерения всех цен на акции индексного списка: если цена на каждую акцию индексного списка увеличится в одинаковое число раз, то и индекс должен возрасти в то же число раз. Такое явление наблюдается, в частности, при инфляции. Формально это свойство может быть описано в следующем виде:
для любой конъюнктуры р = (р1,..., р2) и положительного числа λ

Хотя свойство линейной однородности функции и является довольно ограничительным, тем не менее однородных функций от нескольких переменных имеется "сколько угодно".
Обоснуем теперь индекс Доу - Джонса непосредственно. Для этого установим справедливость следующего утверждения. Если индекс конъюнктуры удовлетворяет перечисленным условиям, то

где 1/k - коэффициент, определяемый внешними (неконъюнктурными) факторами.
Иными словами, биржевой индекс, удовлетворяющий перечисленным условиям, представляет собой индекс Доу - Джонса (с точностью до величины корректирующего делителя).
Математическое доказательство справедливости этого утверждения не сложно. Сначала приведем его доказательство для случая, когда индексный список охватывает только две акции двух компаний, т.е. когда п = 2. При этом сформулированные условия приобретают следующий вид:
а) независимость от начала отсчета: если

то

б) симметрия:

в) линейная однородность:

Докажем теперь следующие три утверждения.
1. Если

то из

следует

Для доказательства изобразим конъюнктуры р и q точками на координатной плоскости.
Из условия
следует, что точки р и q лежат на прямой, перпендикулярной биссектрисе ON координатного угла. Если длины отрезков рМ и Mq равны, то, очевидно,
так что конъюнктура q получается из p (циклической) перестановкой цен. Тогда из условия симметрии и равенств р1 = q2 и рг = ql следует, что Ind р = Ind (р1,рг) = Ind (p2, p1) = Ind (q1, q2) = Ind q.
Предположим теперь, что отрезки рм и Mq имеют разную длину. Пусть для определенности отрезок рМ длиннее, чем Mq. Проведем из p и из q параллельные лучи произвольным образом, но так, чтобы луч, выходящий из p, приближался к биссектрисе ON, а луч, выходящий из q, удалялся от нее. В результате на некотором перпендикуляре rs к ON отрезки
и M's окажутся равными.
Из только что доказанного следует, что
Конъюнктуры r и s получаются соответственно из p и q одним и тем же сдвигом, поэтому применение свойства независимости от начала отсчета дает Ind p = Ind q, и требуемое доказано.

Для доказательства положим

Очевидно, в наших условиях λ > 1. Введем теперь в рассмотрение вспомогательную конъюнктуру:

В силу условия линейной однородности функции-индекса здесь должно быть

а так как λ > 1, то

Далее, очевидно, что

Поэтому по предыдущему утверждению должно быть
что вместе с утверждением (2) дает
а это и требовалось доказать.
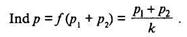
Объединяя все изложенное в утверждениях 1 и 2, можно сделать вывод, что биржевой индекс конъюнктуры должен зависеть только от суммы цен на акции индексного списка, являясь тем самым функцией этой суммы. Обозначая эту функцию через f, получаем:

3. Докажем, что

где к - некоторое положительное число.
Действительно, по условию пункта "в" функция ƒ является линейно однородной. Значит, если положить
то для любой величины х

Отсюда следует, что для любой конъюнктуры p = (р1, p2) должно быть:

В числителе здесь стоит сумма цен на все акции индексного списка в условиях конъюнктуры, в знаменателе - некоторый корректирующий коэффициент, вычисляемый на основании неконъюнктурных соображений. В итоге получен индекс Доу - Джонса.
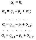
Получим формулу индекса Доу - Джонса для общего случая индексного списка акций произвольной величины. Отметим, что это рассуждение является альтернативным по отношению к рассмотренному выше, т.е. не опирается на него.
Как и ранее, расчленим рассуждение на три части.
1. Если для конъюнктур p = (р1,...,pn) и q =(q1,..., qn) имеет место

то

Для доказательства составим числа:

Если сложить равенства (4) почленно, произвести сокращение всех "альф" и воспользоваться равенством (3), то получим:

Систему равенства (4) можно переписать как:

Рассмотрим теперь две вспомогательные конъюнктуры:

Проверим, что если в конъюнктуре рα произвести циклическую перестановку цен акций, то получится конъюнктура qα.
Выполнение циклической перестановки в ра дает ввиду соотношений (5):

По условию симметрии конъюнктуры pa и qa должны иметь один и тот же индекс:
но по условию независимости от начала отсчета должно быть и 
2. Если для конъюнктур
имеет место 
то 


откуда

Заметим, что из равенства (6) следует, что λ > 1.
По доказанному должно быть:

а по условию линейной однородности индекса:

так как λ > 1, то

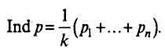
3. Из сказанного выше следует, что

где ƒ- некоторая возрастающая функция.
Так как индекс (функция/) является линейнооднородной функцией, действуя так же, как и в случае конъюнктур с двумя акциями, получаем для любой конъюнктуры 

Из всего сказанного следует, что для равноценности двух конъюнктур при одном и том же корректирующем делителе необходимо и достаточно равенство сумм цен, входящих в них (числитель в индексе Доу - Джонса); если же эти суммы различны, то конъюнктура с большей суммой цен будет предпочтительнее. Иными словами, о предпочтительности биржевой конъюнктуры по фиксированному списку акций компаний следует делать вывод по индексу Доу - Джонса для этого списка.
Индекс Доу - Джонса не учитывает всех изменений цен на акции: изменение на 1 долл. цены акции предприятия, входящего в индексный список, воздействует на величину индекса Доу - Джонса точно так же, как и изменение на 1 долл. цены любой другой акции предприятия из этого списка, тогда как в действительности это не обязательно так.
Недостатком индекса Доу - Джонса является также ограниченность списка охватываемых им компаний, даже в его наиболее широком, "комплексном" варианте. Он оценивает биржевую конъюнктуру на основании акций крупнейших корпораций, которые, как правило, более устойчивы, чем курсы акций менее крупных компаний. Поэтому о биржевой конъюнктуре следует также судить и по этим менее устойчивым акциям.
Расширение списка Доу - Джонса путем включения в него нескольких десятков менее мощных компаний едва ли целесообразно, так как трудно определить критерии для отбора таких компаний, а отсутствие разумных оснований для применения закона больших чисел делает случайную выборку нерепрезентативной. Единственным выходом из этого положения может служить существенное, многократное расширение списка акций, которые формируют индекс, характеризующий биржевую конъюнктуру.
В США кроме индекса Доу - Джонса другим важным биржевым показателем служит индекс информационной фирмы "Стандарт энд Пуэрс". Эта фирма рассчитывает и публикует пять биржевых индексов, каждый из которых по-своему важен и полезен. Однако более популярен и распространен индекс "Комплексный-500", объединяющий все эти показатели и публикуемый во многих периодических изданиях. Он рассчитывается как отношение текущих рыночных цен на акции в базовый период (1941-1943 гг.), умноженное на 10. При вычислении сначала определяется рыночная цена всех акций 500 фирм как произведение рыночных цен на акции в данный момент на их выпущенное количество, затем делится на их стоимость в базовый период. Это отношение умножается на 10. Например, значение этого индекса в 200 (пунктов) означает, что средняя рыночная цена акций 500 ведущих компаний США, принятых для этих расчетов, увеличилась по сравнению с базовым периодом (1941-1943 гг.) в 20 раз.
Наряду с этими наиболее популярными биржевыми показателями только в США используются десятки других индексов. Крупнейшие мировые рынки ценных бумаг (лондонский, токийский и др.) имеют собственные показатели уровня цен и биржевой активности.