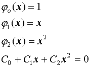
Пусть на [-1,1] задана система функций
;
. Тогда, если в качестве узлов взять, например, точки
;
; то получим
,
.
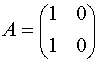
Другой пример:
;
;
;
;
.
Вообще из (3) видно, что если какая-либо из функций
, k=0,…,n обращается на отрезке [a,b] в ноль более чем n раз, то система не является чебышевской. Действительно, если, например,
для некоторого j и для k=0,…,n, то выбирая точки
в качестве узлов интерполирования, получим, что j-ый столбец матрицы A содержит только нулевые элементы.
Отсюда можно доказать, что для того чтобы система
, k=0,…,n была чебышевской на [a,b], необходимо и достаточно, чтобы любой обобщенный интеграл по этой системе
, у которого хотя бы один из коэффициентов отличен от нуля, имел на [a,b] не более n нулей.
Можно также доказать, что определитель A отличен 0 тогда, когда система базисных функций линейно независима на множестве узлов. Поэтому система функций называется чебышевской, если она независима на любом конечном множестве (n+1) точек на отрезке [a,b].
Напомним, что система функций
, k=0,…,n называется линейно зависимой на некотором множестве точек
, если существует набор коэффициентов
, среди которых хотя бы один отличен от нуля, обращающих в тождественный нуль на множестве X линейную комбинацию функций
,
.
Если это равенство выполняется только в том случае, когда a0=a1=…=an=0, то система функций
, k=0,…,n называется линейно зависимой на множестве X.
Очевидно, что система функций независима на множестве X, то она независима и на множестве
. Обратное неверно!
- линейно зависимы
нельзя подобрать коэффициенты, чтобы многочлен є 0
- линейно зависимы
можно определить значения коэффициентов, чтобы значение многочлена є 0.






