
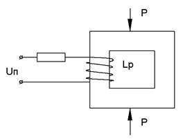
Принципиальная схема преобразователя:

Изменение воздушного зазора
преобразуется в изменение индуктивностей,
и
. Изменение индуктивностей осуществляется перемещением общего сердечника из среднего положения под действием механических сил. Отношение токов в катушках характеризует величину зазора.
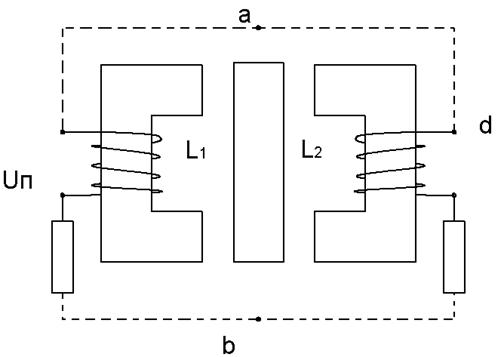
Возможны также варианты мостовых схем
- С трансформаторным питанием:
- Бестрансформаторные схемы:

В приведенных схемах изменяются плечи
и
. Подобные схемы часто применяются для измерения переменных давлений, ускорений и деформаций.
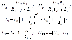
Для наших схем получим:

Дифференциальная схема характеризуется следующими зависимостями:
- график зависимости индуктивности от величины зазора:

- график зависимости напряжения от величины зазора:

Сравнивая эти графики, с полученными зависимостями для недифференциальной схемы преобразователя, делаем вывод, что дифференциальная схема преобразователя выгоднее, т. к. у неё более широкий диапазон линейной работы, можно допускать большую расстройку. И
в дифференциальной схеме проходит через нуль, поэтому нет необходимости держать в памяти значение Uo.
В таких датчиках должен присутствовать фазочувствительный элемент.
Преимущества дифференциальных схем:
1. Крутизна характеристики в два раза выше чем у простой
2. Диапазон линейной работы оценивается условием







