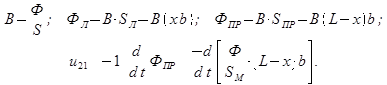
Индуктивные датчики с изменяющейся площадью перекрытия полюсов.

Эквивалентная магнитная схема:

Проведем расчет:

Получили линейную функцию смещения для L.

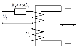
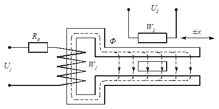
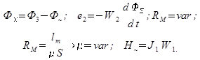
- измерительный преобразователь в виде трансформатора, вторичное напряжение которого изменяется в результате изменения воздушного зазора в сердечнике (или взаимного перемещения обмоток) пропорционально измеряемой величине (перемещению, усилию).
По закон электромагнитной индукции:

ψ – потокосцепление; ψ = ФW; Ф – поток; W – число витков. ЭДС в витках возникает только при изменении потокосцепления.
Происходит перекачка энергии из одной катушки в другую.


Структурная схема трансформаторного датчика:

Магнитная цепь имеет вид:

, где Rв – сопротивление воздушного зазора;
Rу - сопротивление утечки;
- Недифференциальный трансформаторный датчик:

Проведем для неё расчет:

В первичную цепь добавляют активное сопротивление Rд, величина которого значительно больше
, тем самым
становиться независимым от магнитного сопротивления цепи Rм.
|
|
|

Тогда получим:

- Дифференциальный трансформаторный датчик с поступательным перемещением ротора:

Эквивалентная электрическая цепь:

Для неё имеем:

- Дифференциальный датчик с угловым перемещением ротора.
Существуют разные варианты возможного включения обмоток в электрическую схему:
1). Дифференциальная схема по ЭДС
, предполагается, что
выходная обмотка - третья
Рассчитаем:

Соединение обмоток должно быть таким, что бы ЭДС вычитались:

2). Дифференциальность по потоку:

Схема соединения обмоток должна быть такая, чтобы первичные обмотки w1 и w2 были соединены последовательно; w3 – вторичная обмотка, Rд находиться в цепи первичной обмотки; U3=Uвых(e3). Тогда ЭДС во вторичной обмотке:

В итоге получим линейные характеристики:

Диапазон трансформаторного датчика достаточно широк.
- Схема трансформаторного датчика для больших перемещений якоря:

, где w1- первичная обмотка, w2- вторичная скользящая обмотка.

Рассчитав, получим напряжение для среднего витка
:

Тогда:

-напряжение для среднего витка.
Для витков, находящихся слева от среднего, ЭДС будет больше так как их пронизывает больший поток, а справа меньше. Но так как каждому левому витку соответствует правый виток, то сумма ЭДС правый + левый будет равна ЭДС среднего витка.

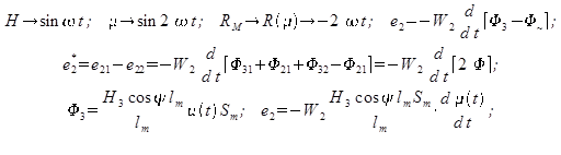
5. Феррозонд.
Феррозонд, устройство для измерения напряженности Н магнитного поля, включает пермаллоевый сердечник, две обмотки — возбуждения и индикаторную. Значение Н определяется по изменению магнитного состояния сердечника под действием внешнего магнитного поля и поля катушки возбуждения. Феррозонд применяется в магнитной дефектоскопии, при поисках полезных ископаемых, для измерения магнетизма Луны и планет, а также магнетизма биологических объектов. Датчик направления (феррозонд) представляет собой три ортогонально расположенных датчика магнитного поля. На выходе феррозонда присутствует аналоговый сигнал, величина которого пропорциональна углу поворота относительно магнитного меридиана Земли.
|
|
|
Феррозонд, как датчик магнитного курса:

|
H наклонена на угол α к плоскости горизонта.
Север-юг – проекция Hcosα
.

Получим выражение для
:

, где НС – намагничивающая сила, Н – напряженность магнитного поля Земли.
Схема феррозонда:

Тогда:

Необходимо чтобы
, для того, чтобы
в качестве сердечника выбирают материал с узкой петлей гистерезиса (пермаллой, супермаллой). Сделано это для того чтобы относительно небольшими изменениями напряженностями в
вводить стержень в состояние насыщения, то есть малыми энергозатратами заставить стержень переходить из состояния ненасыщенного в насыщенное.
Таким образом:

Такое соединение делает
перемагниченным

Тогда:

Этот компас имеет широтные ограничения – средние и экваториальные широты. Для реализации измерения используется принцип максимума – минимума.

Для каждого текущего положения зонда относительно Земли существует определённое положение результирующего потока ΦΣ относительно определённой точки статора.

Дефекты при измерении угла курса.
1). Магнитные курсы и географические отличаются, следовательно необходимо вносить корректировку.

.
2). Есть некоторые инструментальные погрешности из-за собственных магнитных полей самолета.
Существуют механизмы для снижения подобных погрешностей. Цепи постоянного тока и магнитомягкие материалы также создают магнитные поля. Эти погрешности необходимо устранять. Обычно источники подобных возмущений описываются с помощью полинома:

Это девиация – инструментальная погрешность,
Где
- постоянная погрешность (аддитивная), независящая от измеряемой величины, она устраняется тем, что сам корпус показателя этого прибора должен быть доведен до стабильного состояния, стрелка совпала с нулевой риской при нулевом курсе ЛА.
3).
- полукруговые погрешности, обусловлены наличием ферромагнитных масс твердых постоянных магнитов, имеющих остаточную коэрцитивную силу и цепь постоянного тока. Избавляются от неё с помощью установления в область зонда компенсирующих магнитов.
4).
– четвертные девиации из-за наличия магнитомягких ферромагнитных масс на борту ЛА.