Дешифратор.
Дешифратор – устройство предназначенное для преобразования двоичного позиционного кода в унитарный.
Пример позиционного кода:
N=510;
R=]log25[=3 (бита);
Код (5)=1012
Позиционность: 1012=1*22+0*21+1*20=1+0+4=510
Пример унитарного кода:
КодУН (5) = 00001000
1 2 3 4 5 6 7 8
КодУН (2) = 01000000
1 2 3 4 5 6 7 8
КодУН (1,3,5) = 10101000
1 2 3 4 5 6 7 8
КодУН (2,3,4) = 01110000
1 2 3 4 5 6 7 8
Дешифраторы часто используются для преобразования двоичной информации в десятичную.
Дешифраторы бывают двух типов:
1. Полные. В таких дешифраторах выполняется соотношение между числом входов и числом выходов – Nвых=2Nвх.
2. Неполные. Т.е. 2Nвх-1<Nвых<2Nвх.
Например:
DC (дешифратор) 4->16 – полный, 4 – кол-во входов, 16 – кол-во выходов.
DC 4->12 – неполный.
Условное графическое обозначение, соответственно справочникам:

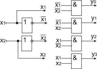
Старший бит (в примере Х1) подается на вход с большим весом (вход 2), а младший бит соответственно на вход с меньшим весом. Таблица истинности:
| X1 | X2 | Y0 | Y1 | Y2 | Y3 |
Для синтеза комбинационной схемы устройства нужно записать формулы выходных сигналов y0-y3, по таблице истинности в форме ДНФ, т.к. выходы дешифратора прямые:
|
|
|

Логическая схема дешифратора DC 2à4:
