1. Проективная прямая не разбивает проективную плоскость на две области, то есть любые две точки проективной плоскости можно соединить отрезком, не пересекающим этой прямой (рис.1).
2. Две проективные прямые разбивают проективную плоскость на две области (полуплоскости) (рис.2).
Без доказательства.
Иллюстрации для расширенной евклидовой плоскости

Рис.1
Точка
не пересекает тот из отрезков прямой
, который содержит несобственную точку
(см. теорему 2).

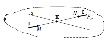
Рис. 2

Любой из двух отрезков прямой
пересекается либо с прямой
, либо с прямой
, следовательно
.
Напротив, точки
и
можно соединить отрезком, не пересекающимся с прямыми
и
, следовательно
(см. теорему 2).






