Пример 3.2. Три оценки продолжительности операций
В этом примере используются данные из примера 3.1, но продолжительность каждой операции устанавливается на основе трех оценок.
1. Составьте перечень всех операций, которые нужно выполнить в ходе проекта.
2. Определите последовательность выполнения этих операций и постройте сетевой график, отображающий эту последовательность.
3. Для определения продолжительности операций используются три следующие оценки:
а— оптимистическая оценка продолжительности: минимальный реальный период времени, в течение которого может быть выполнена операция. (Существует очень небольшая вероятность, которая обычно оценивается как 1%, что данная операция будет завершена в более короткие сроки);
т — наиболее вероятная оценка продолжительности: наиболее точное предположение периода времени, необходимого для выполнения конкретной операции. Поскольку т является наиболее вероятной продолжительностью, это значение представляет собой также моду /3-распределения, о котором мы более подробно поговорим в п. 4;
|
|
|
b — пессимистическая оценка продолжительности: максимальный реальный период времени, в течение которого операция должна быть выполнена. (Существует очень небольшая вероятность, которая обычно оценивается как 1%, что выполнение данной операции займет больше времени).
Как правило, эти оценки даются непосредственными исполнителями конкретной операции.
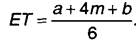
Вычислите ожидаемое время (Expected Time — ЕТ) каждой операции. Оно рассчитывается по формуле:

Этот расчет основан на статистической концепции β- распределения, согласно которой наиболее вероятная оценка продолжительности операции (т) весит в 4 раза больше, чем оптимистическая (а) или пессимистическая (b)оценки продолжительности, β -распределение вероятностей отличается универсальностью, оно может принимать разные формы и в упрощенной версии, позволяет прямо вычислять среднее значение операции и среднеквадратическое отклонение.
5. Определите критический путь. Критический путь определяется так же, как в обсужденном нами примере для однозначной оценки продолжительности операций, но с использованием значений ожидаемого времени.
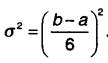
6. Вычислите дисперсию (σ2) продолжительности операции. Дисперсия (σ2) для ожидаемого времени каждой операции вычисляется по формуле:

Как видно, дисперсия представляет собой квадрат разности двух крайних значений продолжительности времени, разделенной на 6. Таким образом очевидно, что, чем больше эта разница, тем больше значение дисперсии.
Определите вероятность завершения проекта в назначенный срок. Использование трех оценок продолжительности операций дает возможность оценивать степень неопределенности срока завершения проекта. Это осуществляется следующим образом:
|
|
|
а) сложите значения дисперсий всех операций, расположенных на критическом пути. (Случаи, когда для проекта определено больше одного критического пути, описаны в следующем примере);
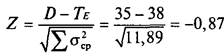
б) подставьте это значение, а также назначенный срок окончания проекта и ожидаемое время завершения проекта в формулу аргумента функции Лапласа Z, которая имеет следующий вид:

где:
D — назначенный срок окончания проекта;
Те — ожидаемое время завершения проекта. Ожидаемое время завершения проекта — это сумма продолжительностей всех операций, расположенных на критическом пути;
сумма дисперсий продолжительностей операций, лежащих на критическом пути;
c) вычислите значение аргумента Z;
d) используя значение Z, определите вероятность завершения проекта в назначенный срок (для этого следует воспользоваться таблицей нормального распределения вероятностей).
Результаты выполнения всех описанных выше действий для нашего примера приведены в табл. 3.2.

Сетевой график проекта в данном случае аналогичен ранее построенному графику на рис. 3.4 с той лишь разницей, что продолжительности операций являются средневзвешенными значениями. Критический путь определяется так же, как было описано выше, и его продолжительность используется по тому же назначению. Основное различие между методом однозначной оценки продолжительности операций и методом с тремя оценками (оптимистической, наиболее вероятной и пессимистической) заключается в том, что во втором случае можно определить степень вероятности завершения проекта в заданные сроки. На рис. 3.5 изображен итоговый сетевой график для рассматриваемого нами проекта со всеми рассчитанными параметрами.
Поскольку в данном сетевом графике два критических пути, необходимо принять решение, какие дисперсии следует использовать, чтобы максимально точно определить вероятность выполнения проекта в заданный срок. Традиционный подход заключается в использовании пути с наибольшей суммарной дисперсией, поскольку в этом случае внимание управленческого персонала будет направлено на операции, которые имеют большой разброс оценок продолжительности, а значит и обширную дисперсию. Следовательно, в нашем примере для определения вероятности завершения проекта должны быть использованы дисперсии операций А, С, F и G. Таким образом,
= 9 + 2,78 + 0,11 + 0 = 11,89. Предположим, что менеджер хочет узнать, насколько вероятно завершить реализацию проекта за 35 недель, т.е. D = 35. Раньше было определено, что ожидаемое время окончания проекта составляет 38 недель. Подставив эти значения в формулу Z получаем

В соответствии с Приложением распределения находим, что значению
Z= — 0,87 соответствует вероятность 0,19. Это означает, что менеджер проекта имеет лишь 19%-ный шанс выполнить проект в 35-недельный срок. Обратите внимание, что данная степень вероятности характеризует, по сути, только критический путь ACFG. Поскольку в сетевом графике есть еще один критический путь, а также другие пути, которые в ходе реализации проекта тоже могут стать критическими, фактическая вероятность выполнения проекта за 35 недель будет меньше 0,19.
3. Модель "время-затраты"
На практике менеджеры проектов уделяют затратам не меньше внимания, чем сроку выполнения проекта. В связи с этим были разработаны так называемые модели типа "время—затраты". Эти модели представляют собой расширенный вариант методов PERT и СРМ и используются для создания графиков минимальных затрат для всего проекта в целом и контроля над расходами в ходе реализации проекта.
|
|
|
Основной предпосылкой составления графика минимальных затрат является то, что между сроком выполнения операции и стоимостью проекта существует определенная взаимосвязь. Если нужно ускорить выполнение операции, то затрачиваются дополнительные средства на такое ускорение операции, сохраняя при этом средства на поддержание (либо продолжение) проекта. Затраты, связанные с досрочным выполнением операций, получили название прямых издержек операций и они увеличивают издержки по проекту в целом. Такие издержки обычно связаны с рабочей силой, например затраты на оплату сверхурочной работы, наем дополнительных работников, перемещение рабочих с других операций; либо с ресурсами: закупка или аренда дополнительного или более эффективного оборудования и использование дополнительных вспомогательных устройств и приспособлений.
Издержки, связанные с поддержанием проекта, называют косвенными издержками проекта. К ним относятся накладные расходы, расходы на содержание производственных помещений, дополнительные издержки в виде перерасходов каких-либо ресурсов, а также, в определенных контрактных ситуациях, издержки на выплату штрафов или на неучтенные поощрительные платежи. Поскольку прямые издержки операций и косвенные издержки проекта на протяжении проекта действуют разнонаправленно, при составлении графика затрат очень важно определить такую продолжительность проекта, при которой они были бы сведены к минимуму, или, иными словами, найти золотую середину в компромиссе время—затраты.
Процесс поиска такого компромисса состоит из пяти описанных дальше этапов. Для их пояснения рассмотрим простой сетевой график, состоящий из четырех операций, взятых из графика, изображенного на рис. 3.3. Наш новый график показан на рис. 3.6.
Предположим также, что косвенные издержки остаются неизменными на протяжении восьми дней, а затем увеличиваются на 5 долларов в день.
1. Постройте сетевой график. Этот график должен включать следующие данные по каждой операции:
|
|
|
a) нормальная стоимость (Normal Cost — NQ, т.е. наименьшая ожидаемая стоимость данной операции. (На графике это меньшее из двух числовых показателей затрат, указанных под каждым узлом на рис. 3.6);
b) нормальный срок (Normal Time — NT), время, соответствующее нормальной стоимости;
c) продолжительность досрочного выполнения операции (Crash Time — СТ), наименьший срок, в течение которого можно выполнить операцию;
d) стоимость досрочного выполнения операции (Crash Cost — CQ, т.е. стоимость, соответствующая ускоренному выполнению операции.
2. Определите приращение стоимости при досрочном выполнении каждой операции за единицу времени (предположим, за день). Взаимосвязь между временем выполнения операции и ее стоимостью можно графически отобразить, нанеся координаты СС и СТ на графике и соединив их с координатами NT и NC с помощью выпуклой, вогнутой или прямой линии, либо каким-либо другим способом, в зависимости от структуры фактической себестоимости выполнения операции. В нашем примере на рис. 3.6 для всех операций примем линейную связь между продолжительностью и стоимостью. Такое допущение очень часто применяется на практике, поскольку оно упрощает определение дневного приращения стоимости при досрочном выполнении операции.
Его, в этом случае, можно легко получить через наклон прямой по следующей формуле:
Наклон = CC-NC
NT-CT'
Если допущение о линейном характере этой взаимосвязи неправильно, стоимость досрочного выполнения операции придется определять графически для каждого дня операции, на который ее можно уменьшить. Вычисления дневного приращения стоимости при ускорении выполнения всех операций рассматриваемого нами проекта приведены в табл. 3.3.

3. Определите критический путь. В нашем простом примере сетевого графика критический путь составит 10 дней. На критическом пути будут расположены операции А, В и D.
4. Сократите критический путь с наименьшим приростом стоимости. Самый простой метод выполнения этой задачи заключается в следующем: начните с исходного нормального графика, сократите его критический путь на один день, удалив его из операции с наименьшей стоимостью. Затем проведите перерасчет, определите новый критический путь и опять сократите его на один день. Повторяйте эту процедуру до тех пор, пока продолжительность проекта не станет отвечать вашим потребностям, либо до того момента, когда этот срок уже нельзя будет сократить. В табл. 3.4 отображен ряд последовательных сокращений сетевого графика на один день.
5. Постройте графики прямых, косвенных и общих издержек и найдите точку минимальных суммарных затрат. На рис. 3.7 представлены такие графики для нашего примера, причем принято, что косвенные затраты сохраняются неизменными (10 долларов в день) на протяжении восьми дней, а в последующих два дня увеличиваются ежедневно на 5 долларов. График прямых издержек построен на основе данных из табл. 3.4.
Сложив косвенные и прямые издержки каждого дня, вы получите кривую общей стоимости проекта. Как видно из рис. 3.7, минимальное значение (40 долларов, т.е. 30 долларов прямых издержек, плюс 10 долларов косвенных) этой кривой приходится на восьмой день.


ТЕМА 04
Проектирование продукта и производственного процесса
План:
1. Проектирование продукции
2. Выбор технологического процесса
3. Проектирование производственного потока