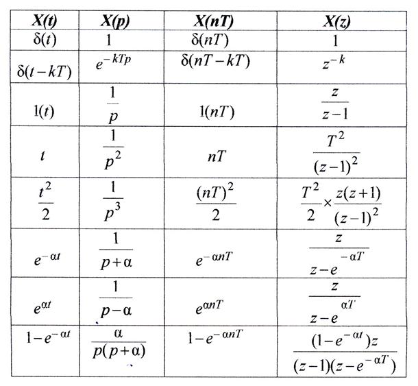
Изображение часто встречающихся функций времени

Контрольные вопросы
1. Чем отличается дискретное преобразование Лапласа от обычного преобразования Лапласа?
2. Как получаются Z-изображения функций времени?
3. Что дает разработчику или исследователю автоматических систем использование обычного и дискретного преобразований Лапласа и Z-преобразования?
Структурные представления и передаточные функции составляют основу для инженерных расчетов импульсных автоматических систем. Они позволяют в значительной степени облегчить решение задач исследования.
Для исследования динамических свойств системы в первую очередь необходимо определить ее передаточные функции, которые, как известно, устанавливают зависимость между входным воздействием и реакцией системы (звена). Обычно в рассмотрение вводят, как и при исследовании непрерывных систем, следующие передаточные функции: передаточную функцию разомкнутой импульсной системы и передаточную функцию ошибки.
Передаточной функцией разомкнутой импульсной системы называется отношение изображений в смысле дискретного преобразования Лапласа выходного и входного импульсных сигналов при нулевых начальных условиях:
|
|
|
.Аналогично определяется эта передаточная функция в смысле Z - преобразования:
Основная задача состоит в том, чтобы определить передаточную функцию W(z) по известной передаточной функции приведенной непрерывной части системы W(p). Эту задачу решают в следующей последовательности:
1. По передаточной функции W(p) в результате применения обратного
преобразования Лапласа находят функцию веса ПНЧ:
![]() |
2. По функции веса ПНЧ w(t) определяют аналитическое выражение
для соответствующей дискретной функции веса w(пТ).
3. Искомую передаточную функцию W(z) получают как Z - преобразование дискретной функции веса ПНЧ:
Основная передаточная функция замкнутой импульсной системы позволяет вычислить реакцию замкнутой системы хвых(пТ) на задающее воздействие хвх(пТ). Ее определяют, как и в непрерывных системах, в соответствии с уравнением замыкания через дискретную передаточную функцию разомкнутой системы:
|
Передаточную функцию замкнутой системы всегда можно представить в виде отношения двух полиномов относительно переменной z.
![]() | |||
| |||
Запишем это выражение в развернутом виде:
|
Левая часть этого уравнения (в скобках) представляет собой характеристический полином замкнутой импульсной системы М (z).
В результате перехода от изображений к оригиналам в формуле (16) легко получить соответствующее разностное уравнение системы:
|
|
|
![]() |
Аналогично можно получить разностное уравнение разомкнутой системы по передаточной функции W(z).
Передаточная функция ошибки определяется через передаточную функцию разомкнутой системы по формуле
![]() | |||
| |||
Зная задающее воздействие и эту передаточную функцию, можно оценить динамическую точность импульсной системы — найти дискретную функцию ошибки ε(nT).
Рассмотрим конкретный пример определения передаточных функций импульсной системы. Определим передаточные функции системы, структурная схема которой изображена на рис. 3.12.
![]() | |||
![]() |
Рис. 3.12. Структурная схема импульсной системы
Как видно из рисунка, в прямой цепи системы имеется простейший импульсный элемент (фиксатор) и непрерывная часть (интегрирующее звено). Передаточная функция приведенной непрерывной части:
Дискретную передаточную функцию разомкнутой системы находим в соответствии с методикой, изложенной выше:
![]() | |||
| |||
Разностное уравнение разомкнутой системы определяем, в случае необходимости, непосредственно из формулы (3.18):
Зная W (z), легко найти основную передаточную функцию замкнутой системы:
![]() | |||
| |||
и передаточную функцию ошибки:
![]() | |||
| |||
Динамические процессы в замкнутой импульсной системе описываются следующим разностным уравнением, полученным из формулы (3.19) путем перехода к оригиналам:
![]() |
Контрольные вопросы
1. Какие передаточные функции обычно используют при исследовании
импульсных систем радиоавтоматики и почему?
2. Как определяют передаточную функцию замкнутой импульсной сис
темы?
3. Как определяется дискретная передаточная функция ошибки и для чего она используется?









