Общественное производство - это единство производства, распределения, обмена и потребления. Факторы: вещественный и личный, которые связаны между собой посредством технологии, организации, информации производства.
Для удовлетворения, постоянно растущих потребностей, необходимо наличие производственных возможностей.
Производственные возможности - это имеющиеся ресурсы (природные, трудовые, финансовые) и достигнутый уровень технологии их использования.;
Проблема выбора в экономике в условиях ограниченных ресурсов наиболее наглядно может быть представлена кривой производственных возможностей.

Кривая производственных возможностей показывает различные комбинации производства двух благ, которые максимально можно произвести при имеющихся ресурсах и достигнутом уровне технологии их использования.
Расширение производственных возможностей предполагает использование экстенсивного пути (за счет привлечения дополнительных ресурсов) и интенсивного пути (за счет более эффективного использования имеющихся ресурсов – новые технологии). При этом кривая смещается вверх параллельно самой себе.
При совершенствовании технологии производства одного из благ, угол наклона кривой производственных возможностей изменится.
По кривой производственных возможностей можно определить альтернативные издержки - издержки производства одного блага выраженные в другом, от которого пришлось отказаться, чтобы произвести дополнительную единицу данного блага, т.е. это издержки упущенных возможностей.
По мере продвижения вдоль кривой производственных возможностей, альтернативные издержки возрастают, т.к. ресурсы предназначенные для производства одного блага переориентируются на производство другого, что не всегда эффективно.
Тема 3. Собственность и основы предпринимательства.
1.Экономическое и правовое содержание собственности.
2.Формы собственности и формы предпринимательской деятельности.
3.Специфика процесса разгосударствления и приватизации в Украине.
Различают. Экономическое и правовое (юридическое) содержание собственности.
Собственность как экономическая категория выражает систему экономических
отношений по поводу присвоения. Точнее, отношение по поводу производства,
распределение, обмена и потребления, т.е. экономическое содержание
собственности показывает, за чей счёт, чьим трудом и в чьих интересах
осуществляется производство.
В хозяйственной практике содержание собственности проявляется:
1) в характере соединения рабочей силы со средствами производства (непосредственно), по средствам найма не экономическое принуждение к труду;
2) В характере присвоения произведенного продукта.
3) В характере присвоения полученного дохода.
4) В характере распределения полученной прибыли.
5) В характере контроля за организацией и производственной деятельности.
Правовое (юридическое) содержание собственности - это закрепленное в юридических документах право владения, распоряжения, пользования и защиты этих прав.
В хозяйственной практике экономическое содержания, как правило, имеет юридически закрепленные формы собственности. Однако, имеют место ситуации, когда реальносложившиеся экономические отношения собственности не имеют юридического оформления, наоборот юридически закрепленные права собственности не реализуются в экономических отношениях.
В современной экономической теории достаточно широкое распространение получила институционная теория прав собственности.
В.2. Формы собственности и формы предпринимательской деятельности.
Исторически наиболее распространенными формами собственности являются частная, коллективная и государственная. Этим формам собственности соответствуют формы предпринимательской деятельности.
Многообразие форм собственности обуславливает создание конкурентно-способной среды как основу эффективного функционирования рыночного механизма.
В.З. Специфика процессов разгосударствления и приватизации в Украине.
Следует различать понятия разгосударсвление и приватизация.
Первое - это дицентрализация управления хозяйственными субъектами без изменения формы собственности. Это проявляется в самостоятельности предприятия при определении ассортимента продукции, поставщиков сырья и рынков сбыта, в ценообразовании.
Второе - предполагает передачу объектов государственной собственности (частную, коллективную, акционерную).
Тема: ФОРМЫ ОРГАНИЗАЦИИ ХОЗЯЙСТВЕННОЙ ЖИЗНИ.
B.1. Натуральное и товарное хозяйство.
B.2. Товар и его свойства.
B.3. Деньги, их сущность и функции.
В.1. Натуральное и товарное хозяйство.
Исторически известны две основных формы организации хозяйственной жизни: натуральное и товарное хозяйство.
Натуральное:
1. Основано на общинной собственности;
2. Производство осуществляется для своего собственного потребления;
3. Хозяйство носит замкнутый характер;
4. Общественное разделение труда не развито.
Имеет место естественное разделение труда (по полу, возрасту);
5. Уровень развития производительных сил недостаточен.
Действие закона возвышения потребностей обусловило
необходимость повышения производительности труда для их удовлетворения. Основой роста производительности труда является специализация производителей, которая привела к общественному разделению труда.
Основной предпосылкой перехода к товарной форме организации является разделение общественного труда. Однако, разделение труда - необходимое, но
1) Недостаточное условие для возникновения товарного обмена;
2) Экономическая обособленность производителей как собственников.
Типы товарного производства:
- простое;
- всеобщее (капиталистическое).
Простое:
1. Основано на частной собственности;
2. Используется личный труд товаро-производителя;
3. Продукты производятся не для собственного потребления, а для продажи;
4. Обмен осуществляется по форме товар-деньги-товар, т.е. ради покупки другого товара.
Следовательно, цель - удовлетворение потребностей товаропроизводителя в других видах товара.
Всеобщее:
1. Основано преимущественно на частной собственности;
2. Используется наемный труд;
3. Обмен осуществляется по форме деньги-товар-деньги1 (первичная затрата денег + прибавочная стоимость) - Д-Т-Д1 (Д1=Д+ΔД), т.е. покупка специфического товара (средств производства, рабочей силы) осуществляется ради производства дополнительной стоимости, которая реализуется с целью получения прибыли.
Современный тип организации товарного производства характеризуется как регулируемое рыночное хозяйство.
В.2. Товар и его свойства.
Товар - это продукт труда, который способен удовлетворить какую-либо человеческую потребность и предназначен для продажи.
Товар обладает двумя свойствами:
2. стоимость.
Потребительная стоимость - это способность товара удовлетворить какую-либо человеческую.потребность. Это качественная сторона товара, то есть то, что различает отдельные виды товаров и проявляется в процессе обмена.
Различают общественную и индивидуальную потребительскую стоимость.
Внешней формой проявления стоимости товара выступает меновая стоимость - это количественные пропорции, в которых обмениваются различные потребительные стоимости.
Для определения стоимости товара используют различные подходы:
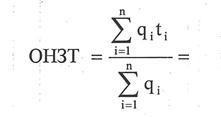
1. трудовая теория стоимости, в соответствии которой стоимость определяется общественно-необходимыми затратами труда - ОНЗТ - это затраты труда на единицу продукции при средне нормальных условиях производства (средний уровень квалификации, средней затратой).
1 пара - 8ч. - 100
1 пара - 5 ч. - 20
1 пара - 3 ч. - 40

где qi - количество продукции, представленной на рынок отдельным товаро-производителем; ti - затраты времни на производство единици продукции отдельным товаро-производителем.

Вместе с тем трудовая теория стоимости в марксиской интропритации предполагает использование следующей формулы определения стоимости товара:
W = C + V + m
С - перенесенная стоимость израсходованных в процессе производства средств производства или постоянный капитал, или прошлый труд общественный в средствах производства, или затраты на средства труда (амартизационные отчисления) и предметы труда (сырье, материалы).
V - стоимость рабочей силы или переменный капитал, или заработная плата, как результат живого труда.
V + m - вновь созданная стоимость или результат живого труда.
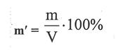
m' - норма прибавочной стоимости, показывает степень использования живого труда.
