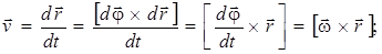
Пусть м. т. движется со скоростью
по окружности радиуса r вокруг неподвижной оси вращения (рис.1.4 а). Положение точки на окружности определяет радиус-вектор
, а вектор его элементарного приращения
направлен по касательной к окружности. Введем понятие вектора элементарного углового перемещения
: он равен по модулю углу элементарного поворота dφ, направлен по оси вращения и связан с направлением вращения правилом правого буравчика, а именно: направление вращения буравчика должно совпадать с направлением вращения материальной точки, тогда поступательное движение буравчика определяет направление вектора
(рис. 1.4 а).
|
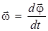
Быстроту вращения м. т. характеризует угловая скорость
, равная первой производной от вектора углового перемещения
по времени t:
(1.6)
Направление вектора угловой скорости
и вектора элементарного углового перемещения
совпадают.
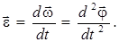
Быстроту изменения угловой скорости характеризует вектор углового ускорения
, равный первой производной от угловой скорости
по времени t:
|
|
|
(1.7)
Кроме перечисленных выше величин, для описания вращательного движения тела используют частоту вращения n, определяемую как число оборотов, совершенных телом за единицу времени, и период обращения Т, как время одного полного оборота. Справедлива следующая взаимосвязь ω, n и Т:
ω = 2πn= 2π/Т. (1.8)
Установим взаимосвязь линейных(
,
) и угловых (
,
) характеристик при вращательном движении.
Пользуясь определением векторного произведения двух векторов (см. Прил. 1) и рис. 1.4 а, можно записать
(1.9)
Выражение (1.9) позволяет получить следующие формулы взаимосвязи линейных и угловых характеристик:
1) для скоростей
и 

; v = ωr. (1.10)
2) для ускорений
,
, 
;
; aτ = εr, (1.11)
, an = ων = ν 2/ r = ω 2 r. (1.12)






