Что такое система JIT
| Что это | Как она работает |
| Философия управления «Вытягивающая» система движения материального потока | Борется с потерями (времени, материально-производственных запасов, от брака) Выявляет проблемы и узкие места Добивается наиболее рациональной организации производства |
| Что она требует | Что она предполагает |
| Участия работников Фундаментальных исследований Промышленных разработок Постоянного совершенствования Всеобщего контроля качества Небольших размеров партий | Стабильную внешнюю среду |
Внедрение концепции JIT, как правило, улучшает качество готовой продукции и услуг, минимизирует уровень запасов и может в принципе изменить стиль фирменного менеджмента за счет интеграции комплексных логистических функций.
Примером может служить работа предприятия Saturn американской автомобилестроительной компании General Motors. Запас двигателей на его сборочном конвейере никогда не превышает 140 единиц, рам – 95 единиц, т.е. количества, необходимого для двухчасовой работы сборки. Поэтому, если происходит сбой на заводе двигателей или в сварочно-штамповочном производстве, это сразу же отражается на работе сборочного конвейера. Все комплектующие поступают от поставщиков на сборку напрямую, минуя склад, что типично для системы JIT. Основные комплектующие поставляют ежедневно, некоторые – чаще, например, такие крупные детали, как радиаторы или передние крылья. Сиденья поступают от поставщика каждые полчаса.
Специализированная транспортно-логистическая фирма Ryder Systems составляет производственный график поставок и маршруты движения материальных потоков Saturn. Ее офис находится на территории завода по сборке автомобилей. Фирма Ryder Systems разработала для Saturn систему JIT –поставок и, по мере необходимости, занимается доставкой комплектующих от более чем 200 поставщиков непосредственно на сборочный конвейер. Кроме того, Ryder поставляет уже готовые автомобили дилерам по всей стране.
KANBAN – это информационная система, обеспечивающая оперативное управление на всех стадиях производственного процесса и основанная на жестком выполнении правил движения специальных карточек особого вида, т.е. является системой, позволяющей оперативно регулировать состояние материальных потоков. KANBAN реализует механизм «вытягивания» продукции из предыдущего производственного звена на основе системы горизонтальных связей.
Сущность системы KANBAN (в переводе с японского «ярлык», «бегунок») заключается в том, что все производственные подразделения завода, включая линии конечной сборки, снабжаются материальными ресурсами только в том количестве и к такому сроку, которые необходимы для выполнения заказа, заданного подразделением-потребителем. Структурное подразделение-производитель не имеет общего жесткого плана-графика производства, а оптимизирует свою работу в пределах заказа подразделения фирмы, осуществляющего операции на последующей стадии производственно-технологического цикла. Конкретный график производства на декаду и месяц отсутствует.
Средством передачи информации в системе являются специальные сопроводительные карточки kanban на бумажных, пластиковых (прикрепляемых к контейнеру), цифровых или иных носителях информации. Используются два вида карточек: карточки отбора (транспортные) и карточки заказа (производственные). Карточки отбора несут информацию о том, сколько и каких предметов (компонентов, полуфабрикатов) нужно забрать со склада и доставить к месту потребления; карточки заказа - сколько и чего нужно изготовить (собрать) в месте производства и доставить на склад.
Правила движения карточекkanban
1. Любое перемещение изделий без карточек запрещено.
2. Для перемещения используются только стандартные контейнеры фиксированной емкости.
3. Бракованная продукция не должна поступать на следующую операцию (находиться в контейнере).
4. На каждый контейнер приходится только одна карточка заказа и одна карточка отбора.
5. Любой отбор, превышающий указанное в карточке количество, запрещен.
6. Производство в б о льших количествах, чем указано в карточке, запрещено.
7. Число карточек, находящихся в обороте, должно быть минимальным.
8. Различные типоразмеры изделий производятся в последовательности, заданной порядком поступления карточек заказа на участок.
Механизм использования карточек следующий (рис.3.7.):

Рис.3.7. Движение карточек kanban: A, B, C - продукция;
a и b - детали
1. Водитель автопогрузчика прибывает к месту складирования деталей на предшествующем участке, имея необходимое количество карточек отбора и пустые контейнеры. Он отправляется на склад только в том случае, если на его пункте отбора скопилось установленное количество карточек отбора, присланных через диспетчера, или наступило установленное время поездки.
2. Забирая детали, водитель снимает карточки заказа, которые были прикреплены к каждому контейнеру, и прикрепляет на их место карточки отбора на те же виды изделий. Снятые с контейнеров карточки заказа и привезенные с собой пустые контейнеры он оставляет на пункте сбора карточек данного производственного участка. После начала обработки изделий, доставленных с предыдущего участка, карточки отбора с освобождающихся контейнеров доставляют на пункт сбора карточек отбора этого участка.
3. На предшествующем участке привезенные водителем карточки заказа забирают с приемного пункта в строго определенное время и оставляют на пункте сбора карточек заказа этого участка в той же последовательности, в какой их снимал водитель с контейнеров с готовой продукцией на месте складирования. Производство деталей на предшествующем участке ведется в соответствии с последовательностью получения этих карточек заказа.
Карточки kanban сопровождают изделия, изготовляемые на предшествующем участке, на всех технологических стадиях этого участка. Готовое изделие (деталь) вместе с карточкой заказа помещают на место складирования, чтобы водитель погрузчика с последующего участка вновь смог забрать его в любое время.
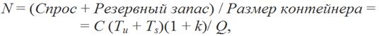
Общее число карточек, находящихся в обороте, призвано точно и адекватно отражать объем незавершенного производства. Необходимое число карточек для каждого изделия можно рассчитать, пользуясь методами теории управления запасами. Например, следующим образом:
(3.1)
где N – общее количество контейнеров (карточек kanban); C – среднедневное потребление, шт.; Tu - время потребительского цикла (карточка отбора), складывающееся из времени ожидания и времени транспортировки, дн.; Ts – время снабженческого цикла (карточка производственного заказа), равное сумме времени ожидания и рабочего времени изготовления компонентов, дн.; Q - емкость контейнера для определенного компонента, шт.; k - параметр страхового запаса (в % от спроса за период выполнения заказа, должен стремиться к нулю).