ГОСТ 2789 – 73 учитывает свойства шероховатости поверхности независимо – от способа ее получения (литье, прессование, прокатывание) и распространяется на все виды материалов, кроме тех, при обработке которых получаются ворсистые поверхности (древесина, войлок, фетр и т. п.).
Нормирование требований к шероховатости поверхности изделий обеспечивает следующие пределы числовых значений параметров шероховатости: Ra = 100…0,008 мкм; Rz = Rmax = 1600…0,025 мкм; S = Sm = 12,5…0,002 мм.
Требования к шероховатости поверхности устанавливаются путем указания числового значения параметра и значений базовой длины, на которой происходит определение параметра.
Шероховатость поверхности – совокупность неровностей поверхности с относительно малыми шагами на базовой длине l.
Базовая длина l – длина базовой линии, используемая для выделения неровностей, характеризующих шероховатость поверхности, и для количественного определения ее параметров.

Шаг неровностей профиля – длина отрезка средней линии, пересекающего профиль в трех соседних точках и ограниченного двумя крайними точками.
|
|
|
Средний шаг неровностей профиля по вершинам S – среднее арифметическое значение шага неровностей профиля по вершинам в пределах базовой длины l.
Средний шаг неровностей профиля Sm – среднее арифметическое значение шага неровностей профиля в пределах базовой длины l.
Среднее арифметическое значение отклонения профиля Ra – среднее арифметическое абсолютных значений отклонений профиля в пределах базовой длины l:

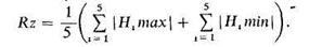
Высота неровностей профиля по десяти точкам Rz – сумма средних арифметических абсолютных значений отклонений точек пяти наибольших минимумов и пяти наибольших максимумов профиля в пределах базовой длины l:

Наибольшая высота неровностей профиля Rmax – расстояние между линией выступов профиля и линией впадин профиля в пределах базовой длины l.
Типы направлений неровностей поверхности выбираются из табл. 11.26.

Числовое значение базовой длины l выбирается из ряда, мм: 0,01; 0,03; 0,08; 0,25; 0,80; 2,5; 8; 25.
Структура обозначения шероховатости поверхности показана на рис. 11.106.

При установлении требований к шероховатости поверхности рекомендуется применять параметр Ra и особенно его предпочтительные числовые значения. Числовые значения параметров шероховатости относятся к определенно направленному сечению, нормальному к номинальной поверхности.
Параметры шероховатости поверхности следует увязывать со следующими функциональными показателями деталей и пар трения: износостойкость при разных видах трения и переменных нагрузках, контактная жесткость поверхности, прочность прессовых соединений.






