Эффективность инвестиций в человеческий капитал

Ключевые слова: инвестиции в человеческий капитал, субъекты инвестиций в человеческий капитал, эффективность инвестиций в человеческий капитал.

Как известно, в экономике, основанной на знаниях, важнейшим и одним из самых ценных ресурсов (факторов производства) является труд. При этом речь идет не просто о квалифицированных трудовых кадрах, а о специалистах, обладающих специальными, порой уникальными, знаниями и навыками. В связи с этим возрастает актуальность проблемы инвестиций в человеческий капитал. В данной статье рассматривается одна из составляющих инвестиций в человеческий капитал – инвестиции в образование и повышение квалификации.

Традиционно выделяются три сектора рыночной экономики: фирмы (предпринимательский сектор), наемные работники (сектор домашних хозяйств) и государство (правительство). Очевидно, что каждый из указанных секторов может выступать и на практике выступает субъектом инвестиций в человеческий капитал.

Фирмы инвестируют в подготовку и переподготовку своих сотрудников с целью повышения производительности их труда, улучшения позиций на рынке (повышения конкурентоспособности) и максимизации прибыли. Наемные работники инвестируют в собственное будущее, оплачивая образование, проходя специальную подготовку или переподготовку, с целью повышения собственной привлекательности в глазах потенциального работодателя и, следовательно, более высокой оплаты своего труда. В человеческий капитал инвестирует и государство, тратя значительную часть национального дохода на развитие системы образования, социальные гарантии студентам, предоставляя кредиты и субсидии на получение образования.

1. Наемные работники как субъекты инвестиций в человеческий капитал

В данном случае субъект инвестиций является одновременно и объектом инвестиций, то есть индивид инвестирует в собственное образование, ожидая в будущем получить отдачу от этих инвестиций в виде определенного дохода от продажи своего труда на рынке.

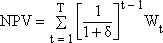
На первый взгляд, этот случай кажется достаточно простым: инвестиции индивида в собственное образование можно рассматривать как осуществление инвестиционного проекта. Принимая решение о целесообразности инвестиций в собственное образование, индивид сопоставляет необходимые затраты с ожидаемой отдачей. В данном случае с определенной долей условности применимы критерии, известные из инвестиционного анализа:

(1) Чистый дисконтированный доход: ,

где – норма дисконта, – чистый доход (заработная плата) в период t;

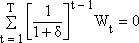
(2) Внутренняя норма доходности, то есть коэффициент дисконтирования, при котором текущая величина чистого дохода равна нулю:

, если;(3)

Срок окупаемости инвестиций, то есть период, необходимый для возмещения осуществленных вложений за счет дохода от реализации проекта.

Очевидно, что в реальной жизни ситуация обстоит значительно сложнее. В частности, непонятно, что в данном случае представляет величина T. Обычный инвестиционный проект имеет, как правило, определенный срок реализации, в то время как профессию иногда выбирают на всю жизнь. В данном случае при сопоставлении различных вариантов инвестиций в собственное образование, индивид сравнивает потенциальный суммарный доход на среднесрочную перспективу, например за первые 5 – 10 лет после получения образования.

При рассмотрении инвестиций индивида в собственное образование в качестве обычного инвестиционного проекта не учитывается такой немаловажный фактор как предпочтения индивида, его желание стать специалистом в определенной области, работа в которой ему интересна. Не учитывается также такой нефинансовый фактор как престиж профессии, ожидаемый социальный статус. В данном случае будем исходить из того, что индивид уже определился с выбором профессии в соответствии со своими предпочтениями и сравнивает различные варианты получения образования по выбранной специальности (например, занимается выбором наиболее подходящего для него учебного заведения). Если же индивид еще не определился с выбором профессии, а лишь обрисовал круг профессий, которые представляют для него интерес, то эти профессии можно проранжировать с учетом предпочтений индивида, приняв за единицу наиболее предпочтительный вариант, а остальным вариантам присвоив коэффициент, измеряемый в долях единицы (чем ниже предпочтительность профессии – тем меньше коэффициент). Обозначим коэффициент, отражающий предпочтения индивида.

Рассмотренный выше подход не учитывает также риск индивида, связанный с тем, что после получения образования он не сможет найти работу по выбранной специальности. Этот риск обусловлен, в основном, двумя факторами.

Первый фактор связан с известностью, престижностью университета, в котором индивид собирается получить образование. Нередко именно этим фактором определяется вероятность и скорость нахождения работы после получения образования.

Второй фактор связан с особенностями знаний, которые индивид приобретет в процессе образования. С одной стороны, специалист широкого профиля легче найдет работу, но его доход будет, как правило, ниже, чем доход уникального специалиста. С другой стороны, для уникального специалиста, чьи знания востребованы ограниченным количеством работодателей, риск не найти работу объективно выше, однако и ожидаемый доход, как правило, значительно выше.

Обозначим P вероятность успешного нахождения работы после получения образования, тогда формула чистого дисконтированного дохода при осуществлении индивидом инвестиций в собственное образование примет вид:

, (*)

где – коэффициент, отражающий предпочтения индивида,

P – вероятность успешного нахождения работы после получения образования.

Таким образом, сопоставляя различные варианты инвестиций в собственное образование, индивид обратит внимание на следующие моменты:

чистый дисконтированный доход, определенный выражением (*) – предпочтительнее тот вариант, для которого при прочих равных условиях значение NPV выше;

внутреннюю норму доходности, рассчитанную с учетом выражения (*) – при прочих равных условиях предпочтительнее вариант с более высоким значением IRR;

срок окупаемости вложений – очевидно, что при прочих равных условиях предпочтительнее вариант с более коротким сроком окупаемости.

Приведенные рассуждения справедливы не только применительно к получению первого образования, но и к получению второго образования или повышению квалификации.

Как известно из теории игр, существуют три категории экономических агентов по их отношению к риску – склонные к риску, нейтральные к риску и избегающие риска.

Применительно к рассмотренной ситуации можно предположить, что индивиды, склонные к риску предпочтут вариант с низким значением P, но с высоким значением NPV. Индивиды, избегающие риска, поступят прямо противоположно. Индивиды, нейтральные к риску, выберут некий промежуточный вариант.

Соотношение в обществе различных групп индивидов по их отношению к риску определяет в известной степени и состояние предложения труда. Так, при малой численности индивидов, склонных к риску, может возникнуть дефицит определенных специалистов. Дело в том, что спрос на этих специалистов резко возрос вследствии развития определенных отраслей экономики, а подготовка специалистов требует времени (возникает временной лаг между повышением спроса на специалистов и ростом соответствующего предложения), а до получения однозначных сигналов о росте спроса на указанных специалистов индивиды избегали получать соответствующее образование из-за низкой, по их оценкам на тот момент, величины P в выражении (*).

Дефицит специалистов может возникнуть и по другой причине – например, при отсутствии у достаточной части населения средств для инвестиций в собственное образование.

По этой причине фирмы и государство являются не менее значимыми субъектами инвестиций в человеческий капитал.

2. Фирмы как субъекты инвестиций в человеческий капитал

Фирмы выступают субъектами инвестиций в человеческий капитал в силу ряда причин.

Первая и очевидная причина связана с дефицитом на рынке труда специалистов, в которых фирма испытывает потребность.

Но нередко и при наличии на рынке труда нужных специалистов, некоторые фирмы предпочитают не нанимать новых, более квалифицированных специалистов, а заниматься повышением квалификации собственных кадров. На первый взгляд, такое поведение выглядит нерациональным: увольняя специалиста с недостаточной квалификацией и нанимая нового специалиста, обладающего необходимой квалификацией, фирма несет меньшие предельные издержки, нежели при инвестициях в повышение квалификации уже нанятых специалистов. Ведь во втором случае фирма будет вынуждена не только повысить заработную плату (так как требования наемных работников, как правило, растут пропорционально их квалификации), но и непосредственно оплатить повышение квалификации своих работников.

Однако, на практике ситуация выглядит иначе. Такое поведение фирм связано не только и не столько с борьбой профсоюзов за права наемных работников, сколько с иными соображениями. Речь идет о сохранении благоприятного психологического климата в коллективе, поддержании командного духа, что особенно важно в тех видах деятельности, где требуются коллективные усилия, а также в исследовательских подразделениях фирм.

Немаловажным аспектом является и величина информационных издержек, связанная с проблемой асимметрии информации. В данном случае речь идет о том, что нанимая нового работника, фирма располагает крайне ограниченной информацией об этом работнике, причем, как правило, той информацией, которую предоставляет фирме он сам. Проверка предоставляемой претендентом информации или получение дополнительной информации связана с определенными издержками. Однако, если речь идет об ответственной должности, то оставлять предоставленную информацию без проверки также нерационально. В любом случае, принимая нового работника, руководство фирмы информировано о его профессиональных способностях и личных качествах значительно хуже, нежели он сам, при этом для получения работы претендент может намеренно исказить или скрыть какую-либо информацию о себе. Возникает асимметрия информации и повышаются риски фирмы. О профессиональных способностях и личных качествах работающих сотрудников руководство фирмы осведомлено, как правило, значительно лучше.

При разработке инвестиционных проектов, связанных с обучением и развитием персонала компании, определение стратегии осуществления этих инвестиций и оценка их эффективности является сложной теоретической и методологической проблемой. На стратегию осуществления инвестиций в обучение влияют не только выявленные потребности фирмы в обучении и развитии персонала, но и характер обучения, положение компании на рынке труда, текучесть кадров.

Особенность инвестиций в человеческий капитал, их отличие от иных инвестиций связаны с тем, что инвестиции в человеческий капитал неотделимы от личности объекта инвестиций (сотрудника). В соответствии с этим инвестиции в человеческий капитал могут быть разделены на специальные и общие.

Инвестиции в человеческий капитал относятся к специальным, если объект инвестиций (сотрудник) с большой вероятностью сможет применить полученные знания только работая в той компании, которая осуществила эти инвестиции. Если же полученные знания объект инвестиций (сотрудник) с большой вероятностью сможет применить и перейдя работать в другую компанию, то такие инвестиции относят к общим.

Очевидно, что с точки зрения фирмы специальные инвестиции менее рискованны, чем общие: осуществив инвестиции в сотрудника, который затем перейдет работать в конкурирующую компанию, фирма не только потеряет вложения, но и подготовит квалифицированного сотрудника для своих конкурентов.

Характер инвестиций тесно связан с особенностями рынка труда, на котором функционирует компания. Особенности рынка труда в некоторой степени определяют текучесть кадров, вероятность увольнения обученных сотрудников. Так, для фирм, действующих на конкурентном рынке, большую часть инвестиций в человеческий капитал следует рассматривать в качестве общих (высокорисковых). Если же фирма является монопсонией на рынке труда (то есть единственным покупателем определенной категории трудовых ресурсов), то практически все ее инвестиции в человеческий капитал будут специальными.

Несмотря на то, что вложения в человеческий капитал являются инвестициями, оценка их эффективности традиционными методами инвестиционного анализа проблематична. В частности, расчет показателя NPV затруднителен из-за того, что оценить прирост дохода компании, вызванный инвестициями в обучение (а не общий прирост дохода) методами бухгалтерского учета невозможно.

В данном случае представляется целесообразной expost оценка прироста дохода, вызванного инвестициями, с применением эконометрических моделей. На основе такой оценки (то есть на основе анализа предыдущего опыта) возможны exante оценки для планируемых инвестиций.

Таким образом, на основе эконометрических оценок можно рассчитать показатель чистого дисконтированного дохода на определенный период, скорректированный на коэффициент текучести кадров:

,

где коэффициент текучести кадров (вероятность увольнения сотрудника),

– эконометрическая оценка чистого дохода за период t в результате инвестиций в человеческий капитал.

Как отмечалось выше, для фирм, действующих на конкурентом рынке инвестиции в человеческий капитал являются общими и, следовательно, высокорисковыми. Так надо ли таким компаниям осуществлять инвестиции в человеческий капитал? Ответ очевиден – надо, так как именно квалифицированные кадры являются одним из важнейших конкурентных преимуществ в экономике, основанной на знаниях, а снижение риска ухода сотрудников возможно снизить с помощью комплекса методов.

Эти методы можно условно разделить на три группы – контрактные, психологические и экономические.

Говоря о контрактных методах, имеется в виду, что с работником заключается контракт, в котором оговаривается срок, ранее которого он не имеет права покинуть фирму.

Однако одних только контрактных, административных методов недостаточно, поскольку эти методы лишь удерживают работника в компании, но не стимулируют его работать с полной отдачей. Возникает известная из теории игр проблема «принципал – агент», то есть ситуация, при которой наемный работник максимизирует собственную выгоду в ущерб интересам компании. Борьба с этим явлением административными методами также неэффективна из-за асимметрии информации и высоких издержек принципала (руководства фирмы) за деятельностью агента (наемного работника). Вследствие этого отдача от инвестиций фирмы в образование своих сотрудников снижается. Поэтому для сохранения коллектива и стимулирования эффективной работы сотрудников необходимы также психологические и экономические методы.

Психологические методы включают создание благоприятного психологического климата в организации, укрепление командного духа, выработку общих ценностей, осознание сотрудниками своей связи с организацией как с большой семьей (в этом плане представляет интерес опыт японских корпораций).

К экономическим методам можно отнести создание материальных стимулов – эффективные схемы заработной платы, учитывающие вклад каждого сотрудника, привлекательный социальный пакет, системы бонусов. Особый интерес представляют различные формы участия наемных работников в прибыли, в том числе через участие в капитале акционерного предприятия. В США, например, уже многие годы действует программа ESOP (Employee Stock Ownership Plan), по которой наиболее эффективные работники получают льготы на приобретение акций тех компаний, в которых они работают.





Подборка статей по вашей теме: